Buenas tardes:
Por favor me podéis ayudar con el ejercicio siguiente.
Si tag 2α = √6 y α ∠ 90º. Calcular el sen, cos y tag α
Quiero aplicar la fórmula de 1 *tag2α = 1/cos2α pero yo la he utilizado otras veces para α, nunca con 2α para calcular el cos. A lo mejor no lo estoy haciendo correctamente.
Gracias
me podrian ayudar con este ejercicio, y donde encuentro videos acerca de esto.gracias

hola , necesito ayuda con un ejercicio de autovalores y autovectores:
para cada una de las siguientes transformaciones lineales indicar a continuacion, hallar [T]c ,determinando si T es diagonalizable
b)-T: R2→R2 tal que v = (1,1) es un autovector de T asociado a λ = 2 y T (0,1)= (1,2)
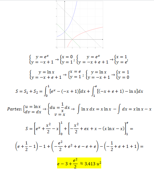
me podrían ayudar con este ejercicio . Hallar el área de la región encerrada por los gráficos de las funciones.
generalmente los ejercicios que me dan son con 2 funciones y la intercepto pero acá son 4 asi que no se la verdad

Observa que tienes las ecuaciones de las curvas que no comparten puntos:
C1: y = ex,
C2: y = lnx;
y observa que tienes las ecuaciones de las rectas paralelas:
R: y = -x + 1,
S: y = -x + e + 1.
Haz un gráfico, y luego observa:
C1 y R se cortan en el punto A(0,1),
C1 y S se cortan en el punto B(1,e),
C2 y R se cortan en el punto C(1,0),
C2 y S se cortan en el punto D(e,1).
Luego, traza una recta paralela al eje coordenado OY que pase por los punto B y C,
y tienes que la región queda dividida en dos sectores:
1)
para x entre 0 y 1, donde C1 es la curva "más alta" y R es "la recta más baja",
luego, plantea la expresión del área de este sector:
A1 = 0∫1 ( ex - (-x+1)*dx = 0∫1 ( ex + x - 1)*dx = [ex + x2/2 - x] = (e + 1/2 - 1) - (1 + 0 - 0) = e - 3/2;
2)
para x entre 1 y e, donde S es la recta "más alta" y C2 es "la curva más baja",
luego, plantea la expresión del área de este sector:
A2 = 1∫e ( -x+e+1 - lnx )*dx = [-x2/2 +e*x + x - x*lnx + x] = (-e2/2 + e2 + e -e + e) - (-1/2 + e + 1 - 0 + 1) =
= (e2/2 + e) - (e + 3/2) = e2/2 - 3/2.
Luego, tienes para el área de la región:
A = A1 + A2 = e - 3/2 + e2/2 - 3/2 = e2/2 + e - 3 ≅ 3,4128.
Espero haberte ayudado.