Foro de preguntas y respuestas de Matemáticas

logo beUnicoos
Los foros de unicoos se han unificado en nuestra nueva plataforma beUnicoos. Para dejar nuevas preguntas deberás hacerlo allí, donde además podrás encontrar nuevas asignaturas y herramientas para ayudarte más con tus estudios.

  • icon

    James
    el 1/12/17

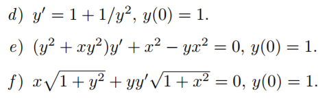
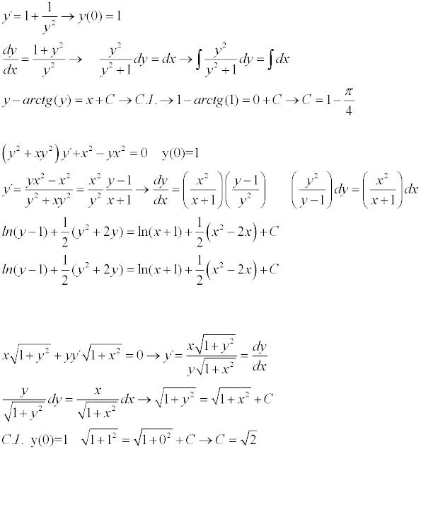
    Buenas! Alguien podria resolver alguna de las siguientes EDOS SEPARABLES?



    Me seria de gran ayuda! GRACIAS!

    replythumb_up0 voto/sflag
    icon

    César
    el 1/12/17


    thumb_up0 voto/sflag
  • icon

    Speak Meow
    el 1/12/17

    esta bien la respuesta b? ayuda por favor


    replythumb_up0 voto/sflag
    icon

    James
    el 1/12/17

    No, la respuesta es 610

    thumb_up0 voto/sflag
  • icon

    Speak Meow
    el 1/12/17

    sino me equivoco la respuesta es la b? ayuda por favor


    replythumb_up0 voto/sflag
    icon

    Ángel
    el 1/12/17

    a100= 1+(99*2)=199

    S100= (1+199)*(100/2)= 10000                                            

    thumb_up0 voto/sflag
  • icon

    Sergio Morantes
    el 1/12/17

    una compañia que construye y vende escritorios, opera en condicion de competencia perfecta y puede vender todos los escritorios que produce a un precio de 400 dolares  por escritorio. si se producen x escritorios, y c(x) dolares es el costo total de la produccion semanal, entonces c(x) =2x2+80x +6000. determine cuantos escritorios deben producirse semanalmente para que el fabricante obtenga la maxima ganancia semanal. cual es la maxima ganancia semanal?


    replythumb_up0 voto/sflag
    icon

    Antonius Benedictus
    el 1/12/17


    thumb_up0 voto/sflag
  • icon

    Vivi
    el 1/12/17

    La perpendicularr bajads desde un punto de una cia a un diametro mide 6m y divide a dicho diametro en dos segmentos que esta en la relacion 2:3 . Calcular la longitud de la cia

    replythumb_up0 voto/sflag
    icon

    Antonius Benedictus
    el 1/12/17


    thumb_up0 voto/sflag
  • icon

    Sergio Morantes
    el 1/12/17

    ayudaaaaa

    un fabricante de cajas desea construir una caja cerrada que tenga un volumen de 288 pulg y cuya base de forma rectangular tiene el largo igual al triple de su ancho, determine las dimensiones de la caja construida de tal forma que emplee la minima cantidad de material.

    replythumb_up0 voto/sflag
    icon

    Antonius Benedictus
    el 1/12/17

  • icon

    Laura
    el 1/12/17

    Buenas noches, esta bien la ecuación del plano xy? Gracias 

    replythumb_up0 voto/sflag
    icon

    Antonius Benedictus
    el 1/12/17

    Es correcta.  z=0

    thumb_up1 voto/sflag
    icon

    Laura
    el 1/12/17

    Gracias Antonio,  entonces x e y pueden tomar cualquier valor?

    thumb_up0 voto/sflag
  • icon

    Vivi
    el 1/12/17

    Ayuda, Un rombo tiene diagonales que miden 12 y 16 cm . La longitud de la cia inscripta a el rombo es?? 

    replythumb_up0 voto/sflag
    icon

    Antonius Benedictus
    el 1/12/17


    thumb_up0 voto/sflag
  • icon

    MÓNICA VIVIANA chandía
    el 1/12/17

    Hola. Nuevamente tengo dificultad para resolver límites. Me pueden ayudar?

    replythumb_up0 voto/sflag
    icon

    Antonius Benedictus
    el 1/12/17


    thumb_up1 voto/sflag
  • icon

    JUAN AMPIE
    el 1/12/17

    Hola buenas tardes me pueden ayudar con estos ejercicios


    replythumb_up0 voto/sflag
    icon

    Antonius Benedictus
    el 1/12/17


    thumb_up0 voto/sflag