Alguien me puede dar la solución de este ejercicio completa no me deja subir mi solución pero necesito saber si voy bien y mi profe no me resolvio la duda
Gracias
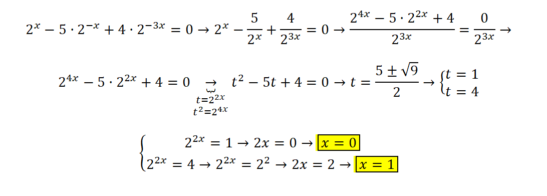
hola agradecería que alguien me resolviera esta ecuación exponencial paso a paso se la solución pero no se como resolverla gracias
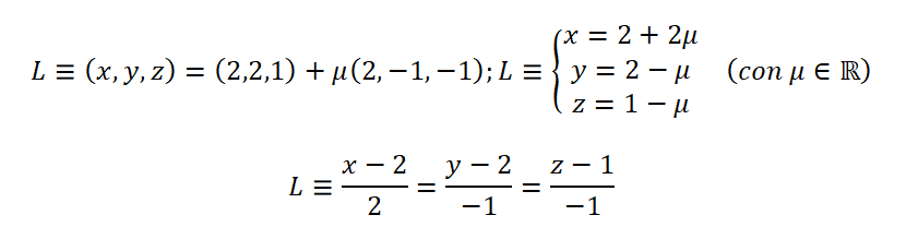
hola, alquien me podría ayudar a resolver este ejercici por favor:
- Analizar la completez (si son completos o incompletos) de los diferentes conjuntos numéricos con: distancia pitagórica, distancia taxi y distancia infinito.
Yo sé que con distancia discreta, para que una sucesión sea de Cauchy, la misma debe ser constante a partir de un término, por lo que todas las sucesiones de Cauchy son convergentes y entonces todos los conjuntos numéricos son completos. Pero con distancia pitagórica, taxi e infinito no se como analizar la completez de los diferentes conjuntos numéricos (reales, racionales, irracionales…)
Muchas gracias!!!

¡Hola! Nos encantaría ayudarte, pero no solemos responder dudas universitarias que no tengan que ver específicamente con los vídeos que David Calle ha grabado como excepción. O de otras asignaturas que no sean Matemáticas, Física y Química. Lo sentimos de corazón… Esperamos que lo entiendas.
Ojalá algún unicoo universitario se anime a ayudarte (de hecho, lo ideal es que todos los universitarios intentarais ayudaros los unos a los otros).