Cuántos números enteros positivos "n" hay, por lo que tanto 3n como n / 3 son números de tres cifras?

Observa que trabajas con números naturales, y si n/3 es natural, tienes que n es múltiplo de 3,
luego, observa que 3n es múltiplo de 9,
y observa que el primer número natural cuyo triple tiene tres cifras es 100 (cuyo triple es 300)
y observa que el último número natural cuyo triple tiene tres cifras es 333 (cuyo triple es 999).
Luego, puedes plantear:
300 ≤ 3n ≤ 999, divides por 3 en los tres miembros de la doble desigualdad, y queda:
100 ≤ n ≤ 333,
luego, plantea la lista de números naturales múltiplos de 3 que cumplen esta condición:
102 105 108 .... 327 330 333,
luego, expresa a todos los números como productos con un factor igual a 3
3*34 3*35 3*36 ... 3*109 3*110 3*111,
luego, observa que los factores distintos de 3 pueden escribirse:
3*(33+1) 3*(33+2) 3*(33+3) ... 3*(33+76) 3*(33+77) 3*(33+78),
luego, observa que los segundos términos en los agrupamientos expresan el número de orden de cada número en la secuencia, por lo que tienes que la cantidad de números naturales de tres cifras que cumplen con las condiciones que establece el enunciado es 78.
Espero haberte ayudado.

1) Tanto 3n como n/3 son números de 3 cifras :
Por una cuestión de existencia de un número de 3 cifras en base 10 se tiene lo siguiente :
10^2 ≤ 3n < 10^3 .... y ..... 10^2 ≤ n/3 < 10^3
De estas 2 desigualdades se obtiene que : 300 ≤ n < 1000/3
Siendo n un entero esto es lo mismo que : 300 ≤ n ≤ 333
2) Debe existir el número n/3 que es un entero , significa que n debe ser múltiplo de 3 entonces tiene la forma n = 3k , siendo k un entero
De donde : 300 ≤ 3k ≤ 333
==> 100 ≤ k ≤ 111
Obviamente acá k toma { 100 , 101 , .... 111} osea son 12 valores , por lo tanto son 12 números

Debe cumplirse 3 condiciones , 2 de ellas son muy claras y explícitas , la tercera con simple observación se puede encontrar .
1) El número 3n debe ser de 3 cifras : 10^2 ≤ 3n < 10^3
2) El número n/3 debe ser de 3 cifras : 10^2 ≤ n/3 < 10^3
3) El número n/3 debe ser un entero : n = 3k , con k entero
Debe cumplirse una " y " la otra "y" la otra , osea las 3 a la vez .
Usted no lo ha comprendido , pero como saber que parte no lo entiende ? .Debe preguntar : esto de donde se obtiene ? , que significa esto o aquello ? , etc . Nosotros no podemos saber que cosa no entiende, no somos adivinos ,no practicamos las artes oscuras ( sólo la "magia " de las matemáticas )
No espere que llegue un adivino y sepa exactamente que cosa no ha comprendido y le ponga la solución mágica que usted está esperando.

En general un número N de k cifras en en sistema de base b existe en el intervalo b^(k - 1) ≤ N < b^k
En este caso el número de cifras es 3 y la base es 10 , entonces : 10^(3 - 1) ≤ N < 10^3
Yo hice referencia a eso , a una forma más general . Y de donde se obtiene esa fórmula ? bueno como muchas con las que se trabaja de eso se encargaron los matemáticos y nos la ponen fácil para usarla . La demostración no es complicada pero creo que ya está fuera del nivel en el que por el momento te encuentras.
No es necesario conocer lo anterior para resolver este problema , basta preguntarse cual es el mayor y cual es el menor número de 3 cifras (obviamente la base es 10 ni mencionarlo) .
La respuesta : el menor es 100 y el mayor es 999
entonces todo número de 3 cifras debe estar entre el mayor y el menor : 100 ≤ número ≤ 999
no fue necesario ninguna teoría nueva ni nada por el estilo .
Y a partir de acá tendría que copiar lo que ya puse arriba .
1) El número 3n debe ser de 3 cifras : 100 ≤ 3n ≤ 999 ==> 100/3 ≤ n ≤ 333
2) El número n/3 debe ser de 3 cifras : 100 ≤ n/3 ≤ 999 ==> 300 ≤ n ≤ 2997
Los números que cumplen con ambas condiciones se encuentran en la intersección (revisar desigualdades elementales)
entonces se obtiene : 300 ≤ n ≤ 333
Ya se cumplieron 2 condiciones , veamos que cumpla la tercera
3) n = 3k , con k entero . Porque si no sería de la forma 3k ( múltiplo de 3 ) el número entero n/3 no existiría , ejemplo n = 310 ya que 310/3 = 103.33333... no es un entero . En vez de n se pone 3k :
300 ≤ 3k ≤ 333 , se resuelve y se obtiene 100 ≤ k ≤ 111
k = { 100 , 101 , .... 111}
Para cada valor de k existe un único n , por lo tanto la cantidad de valores de k es la misma que las de n , de donde n toma 12 valores .
Es lo más que puedo hacer sorry , ponga de su parte esto significa que si por allí ve desigualdades y hablan de intersección o como se resuelve entonces averigüe , estudie el tema de desigualdades , en caso no conozca .
Dada la ecuación x+sen x=1
a) (1 punto) Demuestra cuántas soluciones tiene la ecuación. Utiliza distintos conceptos de
análisis y teoremas.
b) (1 punto) Encuentra, basándote en algún teorema (indícalo), una solución con 2 cifras
decimales exactas.
Como se hace? alguien me ayuda?
Sea f : R → R la función definida por f(x) = x3 - 3x2 - x + 3.
a) [0,75 puntos] Halla, si existe, el punto de la gráfica de f en el que la recta tangente es
y = 3 − x.
b) [0,75 punto] Halla, si existe, el punto de la gráfica de f en el que la recta normal es y = x-5.

Plantea la expresión de la función derivada (que está relacionada con las pendientes de las rectas tangentes):
f ' (x) = 3x2 - 6x - 1.
a)
Observa que la pendiente de la posible recta tangente es -1, por lo que plantea la condición de punto de contacto:
f ' (x) = - 1, sustituyes en el primer miembro, y queda:
3x2 - 6x - 1 = -1, haces pasaje de término (observa que tienes cancelaciones, y queda:
3x2 - 6x = 0, que es una ecuación polinómica cuadrática cuyas soluciones son:
1)
x = 0, que al evaluar en la expresión de la función queda: y = f(0) = 3, por lo que tienes el punto A(0,3),
que también pertenece a la recta;
2)
x = 2, que al evaluar en la expresión de la función queda: y = f(2) = -3, por lo que tienes el punto B(2,-3),
que no pertenece a la recta.
b)
Observa que la pendiente de la posible recta normal es 1, y como la recta normal es perpendicular a la recta tangente, tienes que la pendiente de la recta tangente es: mT = -1/1 = -1, que corresponde a la recta tangente que hemos determinado en el inciso anterior, por lo que tienes que el punto A(0,3), que no pertenece a la recta, por lo que puedes concluir que no existen puntos en los que la recta normal sea la que se propone en el enunciado.
Espero haberte ayudado.
Sea f: R->R la función definida por f(X)= x²/x+1
a) estudia y determina las asíntotas de la gráfica de f.
b) calcula los puntos de corte de duchas asíntotas con la gráfica de f.
c) halla los intervalos de crecimiento y de decrecimiento y los extremos relativos de f (abscisas donde se obtienen y valores que se alcanzan)
d) esboza la gráfica de f.
Ayuda para un problema:
Una cuerda de 1 metro de longitud se divide en dos trozos con los que se construyen un cuadrado y una circunferencia respectivamente. Determina, si es posible, las longitudes de los trozos para que la suma de las áreas sea mínima.

Vamos con una orientación.
Puedes llamar x a la longitud del trozo que empleas para la circunferencia, y 1-x a la longitud del trozo que empleas para el cuadrado.
Luego, plantea el perímetro de la circunferencia:
2π*R = x, haces pasajes de factores como divisores, y queda: R = x/(2π),
luego, plantea la expresión del área del círculo: Ac = π*R2 = π*( x/(2π) )2 = ( 1/(4π) )*x2 (1).
Luego, plantea el perímetro del cuadrado:
4*L = 1-x, haces pasaje de factor como divisor, y queda: L = (1-x)/4,
luego, plantea la expresión del área del cuadrado: Ak = L2 = ( (1-x)/4 )2 = (1-x)2/16 (2).
Luego puedes plantear la expresión de la función área total:
A(x) = Ac + Ak= ( 1/(4π) )*x2 + (1-x)2/16,
luego, queda que plantees la expresión de la función derivada, iguales a cero para determinar los puntos críticos, y continúes la tarea.
Espero haberte ayudado.
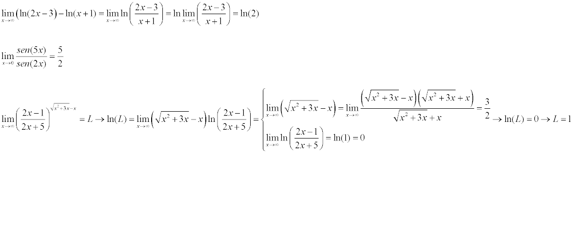
Buenas, alguien me ayuda con este limite:
. Hay que calcular m y el valor del limite

Extraes denominador común en el argumento, y el límite queda:
Lím(x→0) ( 2x - m*(ex-1) ) / ( 2x*(ex-1) ) =
observa que el numerador y el denominador tienden a cero; luego, aplicas la Regla de L'Hôpital (derivas independientemente en el numerador y en el denominador), y queda:
= Lím(x→0) (2 - m*ex) / (2*(ex-1) + 2x*ex) (1).
Luego, observa que tienes dos opciones:
a)
m = 2, luego reemplazas en el límite señalado (1), y queda:
Lím(x→0) (2 - 2*ex) / (2*(ex-1) + 2x*ex) =
observa que el numerador y el denominador tienden a cero; luego, aplicas la Regla de L'Hôpital (derivas independientemente en el numerador y en el denominador), y queda:
Lím(x→0) (-2*ex) / (2*ex + 2*ex + 2x*ex) = -2/(2+2+0) = -2/4 = -1/2;
b)
m ≠ 2,
y para este caso, observa que el numerador del argumento del límite señalada (1) tiende a 2-m,
y que el denominador del argumento del límite tiende a 0, por lo que el límite es infiniito,
y con más precisión, será -infinito para m >2, y será +infinito para m < 2.
Espero haberte ayudado.

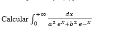
Vamos con una orientación.
Tienes el argumento de la integral:
1/(a2ex+b2e-x) = multiplicas al numerado y al denominador por ex, y queda:
= ex/(a2e2x+b2) = extraes factor común b2 en el denominador:
= (1/b2)*( ex/( (aex)2/b2 + 1) ) = (1/b2)*ex/( (aex/b)2 + 1 ).
Luego, plantea la sustitución (cambio de variable):
w = aex/b, de donde tienes dw = aex*dx/b, y también tienes (b/a)*dw = ex*dx
luego, sustituyes y la integral (indefinida) queda:
I = (1/b2)*(b/a) * ∫ dw/(w2+1) = ( 1/(ab) ) * arctan(w) + C = ( 1/(ab) ) * arctan(aex/b) + C.
Luego, queda para que evalúes entre 0 y p, y que luego calcules el límite para p tendiendo a +infinito,
y tendrás el resultado de la integral impropia de tu enunciado.
Espero haberte ayudado.