Foro de preguntas y respuestas de Matemáticas

logo beUnicoos
Los foros de unicoos se han unificado en nuestra nueva plataforma beUnicoos. Para dejar nuevas preguntas deberás hacerlo allí, donde además podrás encontrar nuevas asignaturas y herramientas para ayudarte más con tus estudios.

  • icon

    Victor Gorgot
    el 29/11/17

    Hola David me gustaria que me dijeseis si es correcto el problema ! i 2 del examen que són de selectividad de años anteriores y el professor considera que no estan bien resueltos porque tanto en el primero como en el segundo no he buscado el Dominio , todo y no pedirlo me indica el professor que no es correcto, en Internet esta coorregido como lo he hecho yo. Como lo veis? Muchas gracias si me podeis contestar lo mas rapido possible , porque mañana ire a revision

     


    replythumb_up0 voto/sflag
    icon

    Antonius Benedictus
    el 29/11/17

    No acostumbrarnos a inmiscuirnos en la relación profesor-alumno. Si tienes claros tus planteamientos, plantéalos con educación y con firmeza, pero también atiende las indicaciones de tu profesor con la atención y el respeto precisos. Un saludo y mucha suerte.

    thumb_up1 voto/sflag
    icon

    Victor Gorgot
    el 29/11/17

    Siempre con educacion y con firmez, yo solo planteaba si por  no realizar el dominio ya que ni siquiera lo piden el problema estaba mal o estaba bien, la pregunta no tenia ninguna otra intencion, solo queria saber su opinion pero sea cual sea la respuesta esto no saldria de aqui. Gracias


    thumb_up0 voto/sflag
  • icon

    Lourdes Casas Collantes
    el 29/11/17

    hola David me podrías decir si esta es una buena forma de hacer esta integral? Por favor 

    replythumb_up0 voto/sflag
    icon

    César
    el 29/11/17

    https://es.symbolab.com/solver/definite-integral-calculator/%5Cint%5Cfrac%7B5x%5E%7B2%7D%2B2%7D%7Bx%5E%7B3%7D-5x%5E%7B2%7D%2B4x%7D


    thumb_up0 voto/sflag
  • icon

    Luz
    el 29/11/17

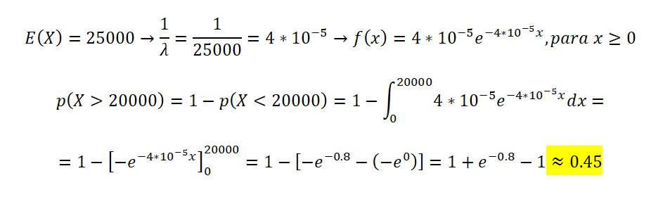
    hola, alguien me podría ayudar a resolver este problema de probabilidad:

    La amplia experiencia de un fabricante de ventiladores utilizados en motores diesel ha sugerido que la distribución exponencial proporciona un buen modelo del tiempo hasta la falla. Suponga que el tiempo medio hasta la falla es de 25000 horas. ¿Cuál es la probabilidad de que un ventilador seleccionado al azar dure por lo menos 20000 horas?

    Gracias!



    replythumb_up0 voto/sflag
    icon

    Antonius Benedictus
    el 29/11/17


    thumb_up1 voto/sflag
  • icon

    federico garcia
    el 29/11/17

    ayuda en este ejercicio gracias

    replythumb_up0 voto/sflag
    icon

    Antonius Benedictus
    el 29/11/17


    thumb_up1 voto/sflag
  • icon

    Alberto
    el 29/11/17

    hola, necesito una ayudita con este ejercicio. muchas gracias.

    Dar una base de R4 que contenga los vectores

    (1; 2; 1; 1)T ; (0; 1; 3; 1)T; (0; 3; 2; 0)T

    replythumb_up0 voto/sflag
    icon

    Antonius Benedictus
    el 29/11/17


    thumb_up0 voto/sflag
  • icon

    Lukin1225 Azkarragaurizar
    el 29/11/17

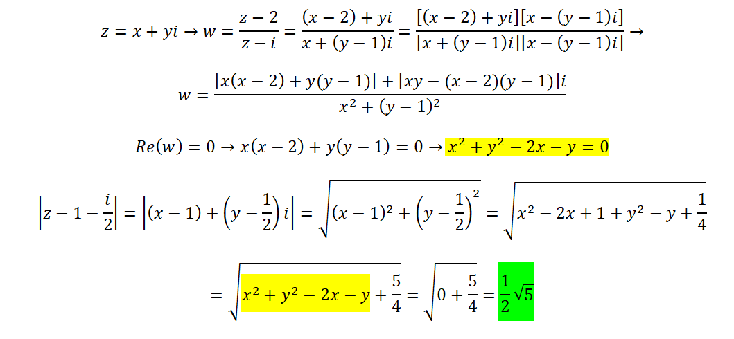
    Hola, a ver si alguien me puede ayudar sobre este ejercicio de numeros complejos:

    |x+iy-1+(i/2)|

    Me dice que calcule si esta en el eje imaginario



    replythumb_up0 voto/sflag
    icon

    Antonius Benedictus
    el 29/11/17

    Pon foto del enunciado original, por favor.


    thumb_up0 voto/sflag
    icon

    Antonius Benedictus
    el 29/11/17

    Errespetuz.

    thumb_up1 voto/sflag