Foro de preguntas y respuestas de Matemáticas

logo beUnicoos
Los foros de unicoos se han unificado en nuestra nueva plataforma beUnicoos. Para dejar nuevas preguntas deberás hacerlo allí, donde además podrás encontrar nuevas asignaturas y herramientas para ayudarte más con tus estudios.

  • icon

    Héctor
    el 29/11/17

    Hola, decidme por favor si está bien el ejercicio hallar el conjunto solución de Ι2x+1Ι + Ι2x+3Ι + Ι2x+5Ι ≥ 7  , mi respuesta esta de color verde, también quiero observaciones de los errores si es que los hay  y quiero videos con ejercicios de este tipo mas difíciles en unicoos.


    replythumb_up0 voto/sflag
    icon

    César
    el 29/11/17

    Correctísimo

    thumb_up1 voto/sflag
    icon

    Antonius Benedictus
    el 29/11/17

    Está perfecto, Héctor.


    thumb_up1 voto/sflag
  • icon

    Speak Meow
    el 29/11/17

    Por favor me podrían ayudar con este ejercicio, muchas gracias 


    replythumb_up0 voto/sflag
    icon

    Antonius Benedictus
    el 29/11/17


    thumb_up2 voto/sflag
  • icon

    José
    el 29/11/17

    Hola, he estado viendo los videos sobre Polinomios de Taylor de Unicoos, pero en ninguno explica cómo utilizar la O de Landon, existiría la posibilidad de un video explicándolo? Es que los estamos viendo en 2º de bachillerato y no entiendo para qué sirve la o pequeña.


    Un saludo y en caso afirmativo muchísimas gracias

    replythumb_up0 voto/sflag
    icon

    César
    el 29/11/17

    thumb_up0 voto/sflag
    icon

    Antonius Benedictus
    el 29/11/17

    La fórmula de Taylor está fuera del currículo de 2º de bachillerato en todas las autonomías de España. Creo que en algún centro educativo se les está yendo la mano.

    thumb_up0 voto/sflag
  • icon

    marikilla romero
    el 29/11/17

    Hola a ver si alguien me puede ayudar de esta expresión y= -1x2 + 4x + 1y = -1x / 4x+1 tengo que sacar una ecuación cuadrática para analizar una parábola y no se por donde empezar, llevo días buscando soluciones y cada vez estoy mas liada, gracias.

    replythumb_up0 voto/sflag
    icon

    César
    el 29/11/17

    Enunciado original marikilla


    thumb_up1 voto/sflag
    icon

    marikilla romero
    el 29/11/17

    me gustaría saber como averiguo la función cuadrática para poder analizarla y asociarla

    thumb_up0 voto/sflag
  • icon

    Vicky Argentina
    el 29/11/17

    Hola! Alguien me podría dar una mano con este ejercicio:

    Encontrar el valor de a para que el sistema tenga soluciones distintas de la trivial. 

    x+y+z=0

    2x+y-z=0

    y-az=0


    Gracias!!!!

    replythumb_up0 voto/sflag
    icon

    César
    el 29/11/17


    thumb_up0 voto/sflag
  • icon

    Manuel
    el 29/11/17

    podriais resolver este ejercicio? me dauna solucion y en el solucionario otra, pero por mas que lo repito me sale siempre lo mismo. no se que estoy haciendo mal.

    replythumb_up0 voto/sflag
    icon

    César
    el 29/11/17

    Pon enunciado Manuel

    thumb_up1 voto/sflag
    icon

    Manuel
    el 29/11/17

    perdona, era un corta y pega y no se pego bien jeje. a ver si ahora si sale.



    thumb_up0 voto/sflag
    icon

    Manuel
    el 29/11/17

    vaya¡¡¡¡ parece que no quiere pegarse. bueno pues el enunciado es:  determine los vlores de a y b que hacen falta para la siguiente igualdad:

    (1   -1            (a                   (1       a               ( 3

                x               =                             x

    3    2)            b )                   b       -1)               2)


    VUELVO A REPETIR, PERDON PERO NO SE ESCRIBIR AQUI LAS MATRICES, ESPERO QUE ENTIENDA LO QUE HE PUESTO










    thumb_up0 voto/sflag
  • icon

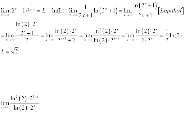
    Carla
    el 29/11/17

    ¿Pueden decirme qué da por favor?

    lim (2x+1)^(1/(2x+1)) cuando x----> infinito

    Gracias!!


    replythumb_up0 voto/sflag
    icon

    César
    el 29/11/17


    thumb_up0 voto/sflag
    icon

    Antonius Benedictus
    el 29/11/17

    Sin L'Hôpital:


    thumb_up0 voto/sflag
  • icon

    Nani Aguilar
    el 29/11/17

    Hola, me podrian ayudar con este ejercicio : (4ln(x+3))/ (3x+9), para encontrar los intervalos de crecimientos y decrecimientos, maximos y minimos locales y determinar si hay algun extremo local. Muchas grac!

    replythumb_up0 voto/sflag
    icon

    Antonius Benedictus
    el 29/11/17

  • icon

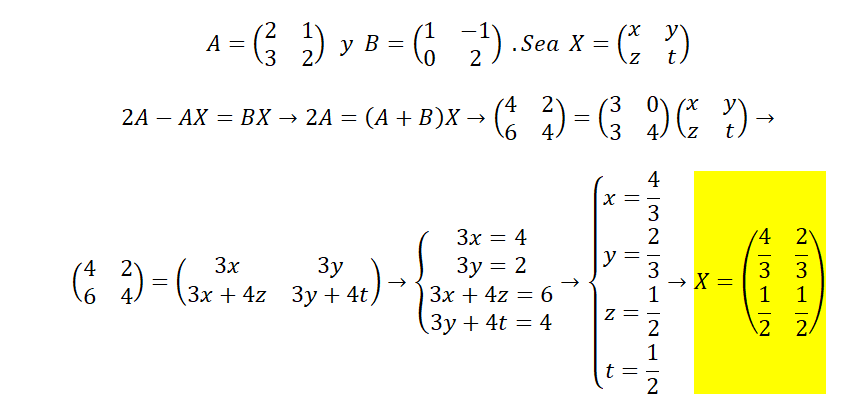
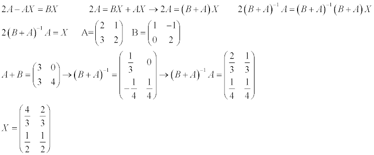
    Manuel
    el 29/11/17

    hola, me podeis ayudar con este ejercicio??


    calcula el valor de la matriz X sabiendo que 2A-AX=BX siendo A=(2    1            B= (1   -1

                                                                                                                3     2)                 0     2)

    perdon pormponer las matrices A y B asi pero no se ponerlas bien jejejeje.


    replythumb_up0 voto/sflag
    icon

    Antonius Benedictus
    el 29/11/17


    thumb_up0 voto/sflag
    icon

    César
    el 29/11/17


    thumb_up1 voto/sflag
  • icon

    David
    el 29/11/17

    Hola, ¿me podéis ayudar con este ejercicio?

    Dada la ecuación : x2 = 18 ln (x) , demostrar que tiene solución única en el intervalo [1, e].  gracias

    replythumb_up0 voto/sflag
    icon

    Antonius Benedictus
    el 29/11/17


    thumb_up0 voto/sflag