buen dia me podrian ayudar con este limite.

es limite cuando x tiende a infinito
lim(x→∞) (√(x2-x)-√(x2+4))=
lim(x→∞) (√(x2-x)-√(x2+4))*(√(x2-x)+√(x2+4))/ (√(x2-x)+√(x2+4))=
lim(x→∞) ((x2-x)-(x2+4))/ (√(x2-x)+√(x2+4))=
lim(x→∞) (x2-x-x2-4)/ (√(x2-x)+√(x2+4))=
lim(x→∞) (-x-4)/ (√(x2-x)+√(x2+4))=
lim(x→∞) (-x/x -4/x)/ (√(x2/x2 -x/x2)+√(x2/x2 +4/x2))=
lim(x→∞) (-1 -4/x)/ (√(1 -1/x)+√(1 +4/x2))=
(-1 -4/∞)/ (√(1 -1/∞)+√(1 +4/∞2))=
(-1 -0)/ (√(1 -0)+√(1 +0))=
-1/2

Observa que tienes que estudiar un sistema de tres ecuaciones lineales y de primer grado, con tres incógnitas.
Luego, comienza por plantear el determinante de la matriz del sistema:
|A| =
1 2 a
1 3 a
1 1 0 = (0+a+2a) - (3a+a+0) = 3a - 4a = -a.
Luego, tienes dos opciones:
1°)
|A| ≠ 0, sustituyes y queda:
-a ≠ 0, multiplicas en ambos miembros de la igualdad negada por -1, y queda:
a ≠ 0, y para este valor, tienes que el sistema es compatible determinado, y admite solución única.
2°)
|A| = 0, sustituyes y queda:
-a = 0, multiplicas en ambos miembros de la igualdad negada por -1, y queda:
a = 0, luego reemplazas en el sistema de ecuaciones, cancelas términos nulos, y queda:
x1 + 2x2 = b1
x1 + 3x2 = b2
x1 + x2 = b3,
a la segunda y a la tercera ecuación le restas la primera, y queda:
x1 + 2x2 = b1
x2 = b2 - b1
-x2 = b3 - b1,
a la segunda ecuación le sumas la tercera, y queda:
x1 + 2x2 = b1
0 = b2 + b3 - 2b1 (1),
luego, tienes dos opciones:
a)
b2 + b3 - 2b1 = 0, y para esta condición tienes que el sistema es compatible determinado (observa que la igualdad señalada (1) queda como identidad verdadera),
y admite infinitas soluciones;
b)
b2 + b3 - 2b1 ≠ 0, y para esta condición tienes que el sistema es incompatible, (observa que la igualdad señalada (1) queda como identidad falsa), y no tiene solución.
Espero haberte ayudado.

1)
Tienes las dimensiones de la carga, cuyo ancho es: a = 2 m, su largo es: b = 2*(2 + x) = 4 + 2x, y su altura es: c = 2 m.
Luego, tienes que cubrir con lona:
"techo", cuya superficie es: a*b = 2*(4 + 2x) = 8 + 4x (en m2);
"dos paredes laterales", cuya superficie total es: 2*b*c = 2*(4 + 2x)*2 = (8 + 4x)*2 = 16 + 8x (en m2);
"dos paredes, una de frente y otra de fondo", cuya superficie total es: 2*a*c = 2*2*2 = 8 m2.
a)
Sumas las tres expresiones de las superficies, y queda:
f(x) = 8 + 4x +16 + 8x + 8, reduces términos semejantes, y queda:
f(x) = 12x + 32 (en m2).
b)
Si x = 4 m, evalúas la expresión remarcada, y queda:
f(4) = 12(4) + 32 = 48 + 32 = 80 m2, que es la superficie de la lona que cubre la carga.
2)
ienes las dimensiones de la carga, cuyo ancho es: a = 2 m, su largo es: b = 2 + x, y su altura es: c = 2*2 = 4 m.
Luego, tienes que cubrir con lona:
"techo", cuya superficie es: a*b = 2*(2 + x) = 4 + 2x (en m2);
"dos paredes laterales", cuya superficie total es: 2*b*c = 2*(2 + x)*4 = (4 + 2x)*4 = 16 + 8x (en m2);
"dos paredes, una de frente y otra de fondo", cuya superficie total es: 2*a*c = 2*2*4 = 16 m2.
a)
Sumas las tres expresiones de las superficies, y queda:
g(x) = 4 + 2x + 16 + 8x + 16, reduces términos semejantes, y queda:
g(x) = 10x + 36 (en m2).
b)
Si x = 4 m, evalúas la expresión remarcada, y queda:
g(4) = 10(4) + 36 = 40 + 36 = 76 m2, que es la superficie de la lona que cubre la carga.
Luego, puedes concluir que en el segundo caso es el que hace necesaria una lona con menor superficie.
Espero haberte ayudado.
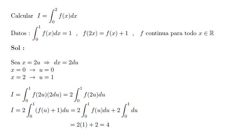
¿que pasos se siguen para poder calcular esta integral? Se que se puede hacer mediante un cambio de variable pero no se los pasos a seguir
ayudenme con esto porfavor.
obtenga la ecuacion de la recta perpendicular a la tangente a la curva y=x^3 -3x en el punto de coordenadas (3/2;-9/8) y que pasa por el punto de coordenadas (2;1) dibuja la grafica de la curva e ilustre la ecuacion. obtenga la pendiente de la curva mediante la definicion de la derivada de una funcion, dy/dx= lim h→0 (f(x+h)-f(x))/h
En el metodo de sustitucion de los sistemas de ecuaciones se actuar si se presenta así :
2x + 3y=5
x - 2y= -1
Pero no si hay más números , por ejemplo :
3x + 4y= -2
4x+ 3y= 2
Espero respuesta, gracias !!
3x + 4y= -2 ------> Despejas la x-------> 3x= -2-4y ----> x=(-2-4y)/3
4x+ 3y= 2 ------> Sustituyes el valor de x obtenido anteriormente por la "x"-------> 4((-2-4y)/3)+3y= 2
4((-2-4y)/3)+3y= 2 -----> (-8/3)-(16/3)y+3y= 2 ----------> (-7/3)y=14/3 -----> y= -2
3x + 4y= -2 -------> 3x + 4*(-2)= -2 ------> x=2