Foro de preguntas y respuestas de Matemáticas

logo beUnicoos
Los foros de unicoos se han unificado en nuestra nueva plataforma beUnicoos. Para dejar nuevas preguntas deberás hacerlo allí, donde además podrás encontrar nuevas asignaturas y herramientas para ayudarte más con tus estudios.

  • icon

    SOLEDAD GONZÁLEZ MERINO
    el 29/11/17











































    Buenas noches!!!

    En el problema 22 de la foto, en el apartado c nos preguntan que "haga solamente una de las dos cosas" eso en el lenguaje de la probabilidad seria la Probabilidad de que  lea, por otra parte la probabilidad de que vea la TV. Valdría con hallar una de estas probabilidades.


    Gracias chicos..

    replythumb_up0 voto/sflag
    icon

    Antonius Benedictus
    el 29/11/17


    thumb_up1 voto/sflag
    icon

    Antonius Benedictus
    el 29/11/17


    thumb_up1 voto/sflag
    icon

    SOLEDAD GONZÁLEZ MERINO
    el 30/11/17

    Muchas Gracias Antonio Benito por tu explicación.

    Me has ayudado mucho, y me has aclarado un concepto que no conocía.

    Muchas gracias Antonio.

    thumb_up1 voto/sflag
  • icon

    Marest
    el 29/11/17

    Me pueden ayudar con los siguientes ejercicios de 1º de la ESO?

    a)      ( 7x2 − 3x + 5 ) : ( 3x − 5 )

    b)     ( 6x4 − 2x3 + x − 5 ) : ( 3x3 − x + 1 )

    Muchas gracias.
     

    replythumb_up0 voto/sflag
    icon

    Ángel
    el 29/11/17

      7x2    − 3x     + 5   | ___ 3x − 5_____

     -7x2 +(35/3)x             (7/3)x + (26/9)  <---------Cociente

    --------------------

                (26/3)x  +5

            -(26/3)x +(130/9)

             ------------------------

                            (175/9)   <--------Resto

    thumb_up0 voto/sflag
    icon

    Ángel
    el 30/11/17

    6x4 − 2x3 + x − 5     | ___  3x3 − x + 1_____

    -6x4    +2x2- 2x                2x-(2/3)

    --------------------

           −2x3+2x2  -x   -5

       +2x3+0x2  -(2/3)x +(2/3)

    -------------------------------------

            2x2  -  (5/3)x - (13/3)       

    thumb_up0 voto/sflag
  • icon

    David Poyatos
    el 29/11/17

    Hola, por qué al realizar la funcion inversa de la funcion: y=√x;  y su función inversa es y^-1= x^2;

    Y el dominio de la función inversa son todos los reales y como el dominio de la función inversa de una función coincide con el recorrido de dicha función. Por lo que el recorrido de y=√x serían todos los REALES.

    En cambio si representamos   y=√x , su recorrido es de [0, +∞). ¿Por qué ocurre esto en el recorrido?

     

    replythumb_up0 voto/sflag
    icon

    Antonius Benedictus
    el 29/11/17



    thumb_up0 voto/sflag
  • icon

    Moxie
    el 29/11/17

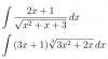
    Me ayudan con estas integrales

    replythumb_up0 voto/sflag
    icon

    Antonius Benedictus
    el 29/11/17

    En la 1ª te recomiendo el cambio t=x^2+x+3

    Y en la 2ª  t=3x^2+2x


    Integrales con cambio de variable

    thumb_up1 voto/sflag
  • icon

    Jose Marana
    el 29/11/17

    Como queda derivado:                   y =   5 Ln x

    Gracias :)

    replythumb_up0 voto/sflag
    icon

    Antonius Benedictus
    el 29/11/17

    y'=5·(1/x)=5/x

    thumb_up1 voto/sflag
    icon

    Jose Marana
    el 29/11/17

    Muchas Gracias :)



    thumb_up1 voto/sflag
  • icon

    Paco Acosta
    el 29/11/17

    En este me pueden ayudar? 


    replythumb_up0 voto/sflag
    icon

    Ángel
    el 30/11/17

    a)

    2*(x*x) + 4*(4*x) = 2x2+16x = y

    b) 

    2x2+16x = 40   ----->     2x2+16x -40=0      ------------> x1= -10 metros (negativo, no válido)  ;  x2=  2 metros                                         


    thumb_up1 voto/sflag
  • icon

    Héctor
    el 29/11/17

    Como se resuelve este limite al infinito y con radicales, ayuda por favor



    replythumb_up0 voto/sflag
    icon

    Antonius Benedictus
    el 29/11/17


    thumb_up0 voto/sflag
  • Usuario eliminado
    el 29/11/17

    Buenas, sé que esta pregunta no está relacionada con matemáticas pero no sabía donde más puedo preguntar:

    ¿En esta página web están TODOS los vídeos del canal Unicoos de YouTube, absolutamente todos?


    replythumb_up0 voto/sflag
    icon

    Ángel
    el 30/11/17

    En el 95% de los casos sí (física, química, matemáticas), pero que yo sepa en la página de Unicoos los vídeos de "miscelánea" (celebraciones, premios, galas...) no están.

    thumb_up1 voto/sflag
  • icon

    Francisco
    el 29/11/17

    Alguien que me pueda ayudar en este ejercicio?


    replythumb_up0 voto/sflag
    icon

    Antonius Benedictus
    el 29/11/17


    thumb_up1 voto/sflag
  • icon

    Lukin1225 Azkarragaurizar
    el 29/11/17

    Como derivan esto?

    replythumb_up0 voto/sflag
    icon

    Antonius Benedictus
    el 29/11/17

    Pon foto del enunciado original, por favor. El anterior ejercicio lo tienes resuelto abajo.

    thumb_up0 voto/sflag