Me podrían ayudar por favor,
Calcular el volumen de solido de revolución que se obtiene al hacer girar la región R acotada por:
y=x^2+2 e y= -x^2+4, en x=0 y x=1 y gira en torno a y= -3
Mi duda es la siguiente, en este caso el a=-3, por lo que graficando me quedaría debajo la función, entonces usando discos debería sumar tres, pero
como quedaría?
debería quedar : pi integral [(3^2+(-x^2+4)^2)-(3^2-(x^2+2)^2)]
o debería quedar así?:pi integral [(-x^2+7)^2 - (x^2+5)^2?

Tienes el eje de giro, cuya ecuación es: y = - 3.
Luego, observa que la gráfica "más alejada" del eje de giros tiene ecuación: y = -x2+4,
y observa que la distancia entre un punto cualquiera de ella y el eje de giros queda expresada:
R1 = -x2+4 - (-3) = -x2+7.
Luego, observa que la gráfica "más cercana" al eje de giros tiene ecuación: y = x2+2,
y observa que la distancia entre un punto cualquiera de ella y el eje de giros queda expresada:
R2 = x2+2 - (-3) = x2+5.
Luego, puedes plantear que el volumen de revolución, correspondiente al intervalo [0,1] es una diferencia de volúmenes:
V = V1 - V2,
y, luego, plantea cada término por separado:
V1 = π * 0∫1 (-x2+7)2*dx,
V2 = π * 0∫1 (x2+5)2*dx,
y puedes continuar con la tarea.
Espero haberte ayudado.
Hola, al resolver ecuación diferencial lineal de 1er grado haciendo cambio de variable y=u.v; en caso de que u=e^(-3x); cómo despejo "v"?
Quedaría así por ej
u(dv/dx)=2x
e^(-3x)(dv/dx)=2x
No sé como pasar ese e^(3x) al otro miembro para despejar "v"
Gracias.

Continuamos:
expresas al primer factor en forma de expresión fraccionaria, y queda:
(1/e3x)(dvdx) = 2x,
haces pasajes de divisores como factores, y queda:
dv = 2x*e3x*dx,
luego, integras en ambos miembros, y queda:
v = ∫ 2x*e3x*dx,
y queda que continúes con la tarea (observa que debes aplicar el Método de Integración por Partes).
Espero haberte ayudado.
Hola! quería saber si me podrían decir que representa lo que marqué en rojo, los conjuntos barra {0}, no recuerdo haberlo visto antes. No hace falta que me lo expliquen, solo quiero saber que representa y luego busco más información. Gracias!

Ya hay fórmulas para ello pero vamos a partir de lo elemental y construir las formulillas .
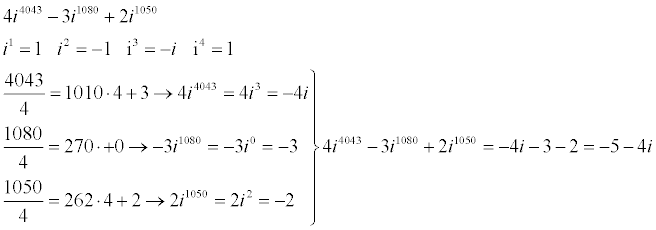
* i^2 = -1 , si eleva al cuadrado a ambos lados se obtiene i^4 = 1 , si esto se eleva a una potencia k a ambos lados , siendo k un natural se obtiene:
* i^(4k) = 1
Se multiplica por i a ambos lados :
* i^(4k + 1) = i
Se sigue multiplicando por i a ambos lados
* i^(4k+2) = -1
Nuevamente
* i^(4k+3) = - i
Siendo k un natural , lo resaltado son unas fórmulas conocidas que lo encuentras en cualquier texto y así se obtiene .
Entonces la idea es expresar los exponentes como múltiplos de 4 + (resto)
* 4043 = 4m + 3 ==> i^(4m+3) = - i
* 1080 = 4n ==> i^(4n) = 1
* 1050 = 4p + 2 ==> i^(4p+2) = -1
De donde :
4( - i ) - 3( 1 ) + 2( -1 ) = -5 - 4i

Recuerda las primeras cuatro potencias naturales de la unidad imaginaria.
Luego, divides por 4 en los exponentes, y tienes:
i4043 = i4*1010+3 = i4*1010*i3 = (i4)1010*i3 = (1)1000*(-i) = 1*(-i) = - i;
i1080 = i4*270 = (i4)270 = (1)270 = 1;
i1050 = i4*262+2 = i4*262*i2 = (i4)262*i2 = (1)262*(-1) = 1*(-1) = - 1.
Luego, tienes la expresión de tu enunciado:
4*i4043 - 3*i1080 + 2*i1050 = reemplazas = 4*(-i) - 3*1 + 2*(-1) =
= -4*i - 3 - 2 = -5 - 4*i.
Espero haberte ayudado.

¡Hola! Nos encantaría ayudarte, pero no solemos responder dudas universitarias que no tengan que ver específicamente con los vídeos que David Calle ha grabado como excepción. O de otras asignaturas que no sean Matemáticas, Física y Química. Lo sentimos de corazón… Esperamos que lo entiendas.
Ojalá algún unicoo
universitario se anime a ayudarte (de hecho, lo ideal es que todos los
universitarios intentarais ayudaros los unos a los otros).