¿Alguien me puede explicar cómo se hace este ejercicio (a ser posible no dar solo la respuesta, dado que no lo entiendo y en los apuntes no viene absolutamente nada)?:
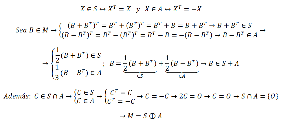
En el R–espacio vectorial M = M(n; R) de las matrices cuadradas de orden n con coeficientes reales, consideremos A, el subespacio vectorial de las matrices antisimétricas, y S, el subespacio vectorial de las matrices simétricas. Demostrar que M = S ⊕ A.

Observa que las expresiones de los trozos son continuas en todos sus puntos, y que solo es necesario estudiar la continuidad en el punto de corte: x = 1, según la definición:
1)
f(1) = -12 + 5(1) - 1 = -1 + 5 - 1 = 3;
2)
Límites laterales:
Lím(x→1-) f(x) = Lím(x→1-) (-x2 + 5x -1) = 3,
Lím(x→1+) f(x) = Lím(x→1+) (2x + 1) = 3,
por lo que tienes:
Lím(x→1) f(x) = 3;
3)
Tienes que la función es continua en x = 1.
Luego, observa que las expresiones de los trozos son derivables en todos sus puntos, y que solo es necesario estudiar la dervabilidad en el punto de corte: x = 1, por medio de la definición:
f-' (1) = Lím(h→0-) [f(1+h) - f(1)]/h =
= Lím(h→0-) [(-(1+h)2+5(1+h)-3) - 3]/h =
= Lím(h→0-) [1+2h+h2 + 5+5h - 3 - 3]/h =
= Lím(h→0-) [h2 + 7h]/h = Lím(h→0-) h(h + 7)/h = Lím(h→0-) (h + 7) = 7,
f+' (1) = Lím(h→0-) [f(1+h) - f(1)]/h =
= Lím(h→0-) [(2(1+h)+1) - 3]/h =
= Lím(h→0-) [2+2h+1 - 3]/h =
= Lím(h→0-) [2h]/h = Lím(h→0-) 2 = 2,
luego, como las derivadas laterales no son iguales en el punto de corte, tienes que la función no es derivable en x = 1,
y la expresión de la función derivada queda:
f ' (x) =
-2x + 5 si x < 1
no está definida si x = 1
2 si x > 1.
Espero haberte ayudado.
Hola, necesitaría saber resolver los siguientes ejercicios, en los videos no son iguales a estos y no me salen. Son de bachiller a distancia y ...

Observa que las expresiones de los trozos son continuas en todos sus puntos, y que solo es necesario estudiar la continuidad en el punto de corte: x = 1, según la definición:
1)
f(1) = -12 + a(1) - 1 = -1 + a - 1 = a-2;
2)
Límites laterales:
Lím(x→1-) f(x) = Lím(x→1-) (-x2 + ax -1) = a-2,
Lím(x→1+) f(x) = Lím(x→1+) (3x - b) = 3-b,
por lo que tienes que para que el límite exista debe cumplirse:
a-2 = 3-b, haces pasaje de término, y queda: a = 5 - b (1).
3)
Tienes que la función es continua en x = 1 con la condición señalada (1).
Luego, observa que las expresiones de los trozos son derivables en todos sus puntos, y que solo es necesario estudiar la dervabilidad en el punto de corte: x = 1, por medio de la definición:
f-' (1) = Lím(h→0-) [f(1+h) - f(1)]/h =
= Lím(h→0-) [(-(1+h)2+a(1+h)-1) - (a-2)]/h =
= Lím(h→0-) [-1-2h-h2 + a+ah - 1 - a+2]/h =
= Lím(h→0-) [-h2 - 2h + ah]/h = Lím(h→0-) h(h - 2 + a)/h = Lím(h→0-) (h - 2 + a) = -2 + a,
f+' (1) = Lím(h→0-) [f(1+h) - f(1)]/h =
= Lím(h→0-) [(3(1+h)-b) - (a-2)]/h =
= Lím(h→0-) [3+3h-b - a+2]/h =
= Lím(h→0-) [(5 - b) +3h - a]/h = sustituyes la expresión señalada (1) =
= Lím(h→0-) [(5 - b) + 3h - (5 - b)]/h = Lím(h→0-) [3h]/h = 3,
luego, como las derivadas laterales deben ser iguales en el punto de corte, tienes que la función no es derivable en x = 1, solo si se cumple la condición: -2 + a = 3, haces pasaje de término, y queda: a = 5,
y observa que el valor de la función para el punto de corte queda: f(1) = 5 - 2 = 3;
luego reemplazas en la expresión señalada (1), y queda: 5 = 5 - b, haces pasajes de términos, y queda:
b = 0;
luego, la expresión de la función queda:
f(x) =
-x2 + 5x - 1 si x < 1
3 si x = 1
3x si x >1;
y la expresión de la función derivada queda:
f ' (x) =
-2x + 5 si x < 1
3 si x = 1
3 si x > 1.
Espero haberte ayudado.
Hola, necesitaría saber resolver los siguientes ejercicios, en los videos no son iguales a estos y no me salen.
Y con este porfavor
Actividad 2
Sabiendo que tg a= -2 y que 90º<a<180º , calcular las demás razones trigonométricas
sin calculadora, operando con las raíces y sin obtener previamente el ángulo.
solo para guiarte, recuerda que en un triangulo rectangulo:
tg(a) = cateto opuesto / cateto adyacente = -2/1
con eso hayas la "hipotenusa" , y ya puedes obtener las demas razones, pero teniendo en cuenta que sen(x) es positivo en el segundo cuadrante, y cos(x) es negativo en el segundo cuadrante