Foro de preguntas y respuestas de Matemáticas

logo beUnicoos
Los foros de unicoos se han unificado en nuestra nueva plataforma beUnicoos. Para dejar nuevas preguntas deberás hacerlo allí, donde además podrás encontrar nuevas asignaturas y herramientas para ayudarte más con tus estudios.

  • icon

    Raisa
    el 17/11/17

    Podeis ayudarme?

    Actividad 8

    La base de un triángulo isósceles mide 50 cm y los lados iguales 40 cm .Calcular los ángulos y el área del triángulo

    replythumb_up0 voto/sflag
    icon

    Antonius Benedictus
    el 17/11/17

  • icon

    Manolo AG
    el 17/11/17

    Y este por último...por favor. Tengo el examen este mes. Gracias


    replythumb_up0 voto/sflag
    icon

    Antonius Benedictus
    el 17/11/17

  • icon

    Manolo AG
    el 17/11/17

    Y con este me pueden ayudar? Pero por favor si me lo pueden ir explicando lo agradecería. Gracias de antemano.



    replythumb_up0 voto/sflag
    icon

    Antonius Benedictus
    el 17/11/17

  • icon

    Manolo AG
    el 17/11/17

    Y con este? Pero con explicaciones por favor...Gracias




    replythumb_up0 voto/sflag
    icon

    Antonius Benedictus
    el 17/11/17

  • icon

    Manolo AG
    el 17/11/17

    Hola buenos días, es la primera vez que pregunto en el foro y me gustaría si alguien me podría decir como hacer estos ejercicios. Estoy en bachiller de adulto a distancia, después de casi 30 años sin estudiar, y con los apuntes que me dan no me entero o es que soy muy torpe. Pero por favor si me lo pueden ir explicando lo agradecería. Gracias de antemano.



    replythumb_up0 voto/sflag
    icon

    Antonius Benedictus
    el 17/11/17

  • icon

    Manolo AG
    el 17/11/17

    Hola buenos días, es la primera vez que pregunto en el foro y me gustaría si alguien me podría decir como hacer estos ejercicios. Estoy en bachiller de adulto a distancia, después de casi 30 años sin estudiar, y con los apuntes que me dan no me entero o es que soy muy torpe. Pero por favor si me lo pueden ir explicando lo agradecería. Gracias de antemano.


    replythumb_up0 voto/sflag
    icon

    Antonius Benedictus
    el 17/11/17

    Visiona estos vídeos:

    Regla de la cadena

    thumb_up0 voto/sflag
  • icon

    carmela
    el 17/11/17

    Las funciones logarítmicas tienen asíntotas horizontales y oblícuas?

    Gracias

    replythumb_up0 voto/sflag
    icon

    Antonius Benedictus
    el 17/11/17

    No. Tienen ramas parabólicas en sentido horizontal.

    thumb_up0 voto/sflag
    icon

    carmela
    el 17/11/17

    Mil gracias Antonio. ¿Y las exponenciales?


    thumb_up0 voto/sflag
    icon

    Antonius Benedictus
    el 17/11/17

    Tienen, por un lado, asíntota horizontal (f(x)=e^x,  tiene y=0)  y por el otro una rama parabólica con sentido vertical.

    thumb_up0 voto/sflag
  • icon

    federico garcia
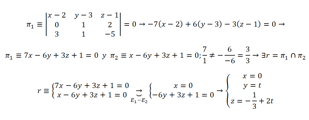
    el 17/11/17

    se puede mirar este ejercicio no me concuerda con la solución gracias

    replythumb_up0 voto/sflag
    icon

    Antonius Benedictus
    el 17/11/17

    Errata en tu resolución: el tercer vector del determinante ha de ser 3, 1, -5

    thumb_up0 voto/sflag
    icon

    Antonius Benedictus
    el 17/11/17


    thumb_up0 voto/sflag
  • icon

    Jack Anyelo
    el 17/11/17

    Hola¡¡

    Tengo el siguiente problema de probabilidad condicional:

    En resumen:

    Novio llega tarde 15%

    Novia llega tarde 10%

    ¿Cuál es la probabilidad de que ambos lleguen tarde?


    según yo es de 6%, pero no estoy seguro.

    replythumb_up0 voto/sflag
    icon

    Antonius Benedictus
    el 17/11/17

    Si los sucesos (eventos) resultan ser independientes, la probabilidad pedida (de la intersección) es el producto de las probabilidades:

    0.15*0.10=0.015


    thumb_up0 voto/sflag
  • icon

    Jack el esqueleto
    el 17/11/17

    Alguien me ayuda como resolver con la ley de cosenos y senos los siguientes triangulos por favor. Se que es un tema facil pero mi profesor no ha explicado nada y dejo algunas paginas pero en esta no le entiendo por que no se como usar la ley para poder sacar cuanto vale el angulo c. 

    replythumb_up0 voto/sflag
    icon

    Antonius Benedictus
    el 17/11/17