Hola a todos,
El problema del examen de radicales da en unicoos , y a mi raiz de 6 partido por 2 mas 6. En el examen no existe desarrollo de la solución. Compruebo con el Fotomak y da como el mío. ¿En que me equivoco? Muchas gracias


¡Hola! Nos encantaría ayudarte, pero no solemos responder dudas universitarias que no tengan que ver específicamente con los vídeos que David Calle ha grabado como excepción. O de otras asignaturas que no sean Matemáticas, Física y Química. Lo sentimos de corazón… Esperamos que lo entiendas.
Ojalá algún unicoo
universitario se anime a ayudarte (de hecho, lo ideal es que todos los
universitarios intentarais ayudaros los unos a los otros).
a) si entendi bien, la funcion solo funciona cuando k≤n, osea que no se extrae vino de 1990 hasta que 5≤n, osea para n=5 , en 1995 (pues 1990 n=0, 1991 n=1, etc..). En cuanto a cuando se extrajo mas vino de 1990, prueba dandole valores a la funcion y veras que la funcion es decreciente, Ya para ser mas estrictos y demostrarlo, tendras que probar que f(n)> f(n+1) por induccion.
b) seria evaluar la serie de f(n), la formula de esa serie la puedes demostrar, te dejo una formula :
https://wikimedia.org/api/rest_v1/media/math/render/svg/7e0d0016533b7ad525b2b1e64f98cb30690d54b0
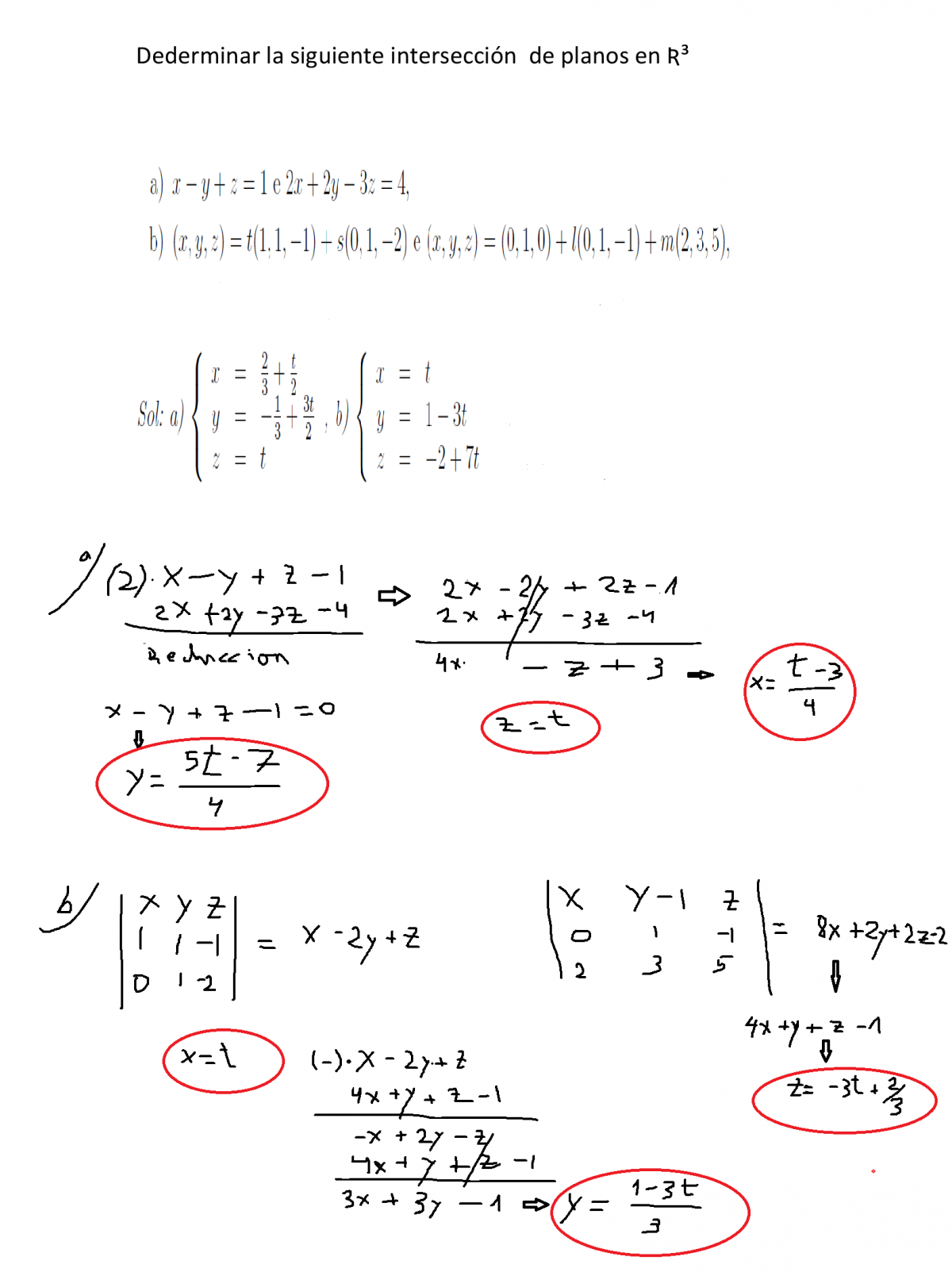
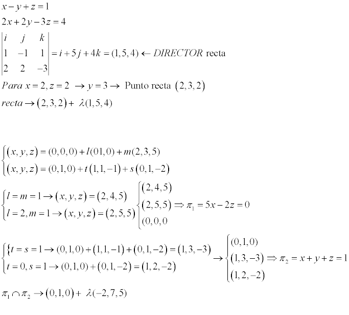
Hola. Alguien me podría decir si hice bien este ejercicio:
En la b) puse q no es posible transformar la función en continua, ya que no existe el límite de f(x;y)
Muchas gracias!