Buenas, soy nuevo en esto y me estreno con una pregunta de 2º de Bachillerato de Matemáticas aplicadas a las ciencias sociales.
Pregunta: Una bombilla fluorescente de cierta marca le sigue a una distribución normal. Su duración mínima es de 10.000h y su duración máxima es de 13.000h. Obtén la media y la desviación típica de la distribución.

En una distribución normal (modelo teórico), el rango de la variable va de "menos infinito" a "más infinito"; en la práctica, los valores extremos tienen una probabilidad casi nula. Pero, si no tenemos la media y la desviación típica, es necesario saber a qué probabilidades acumuladas corresponden esos valores mínimo y máximo.
Hallar la ecuación del plano π que pasa por el punto P = (0, 3, -4) y contiene a la recta de ecuación X = (2, -3, 1) + t(2, -2, 1), t∈R
Quisiera saber si en este ejercicio bastaría con hallar un vector perpendicular al vector director de la recta (2, -2, 1). Y luego remplazar en la ecuación general del plano Ax+By+Cz+d=0, hallar d remplazando (x,y,z) por el punto del enunciado (2, -3, 1) y luego reescribir la ecuación con todos los datos.
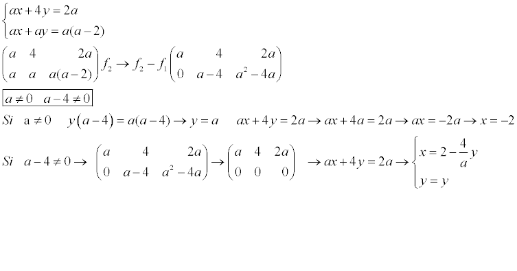
Hola!
Tengo que resolver y discutir según a, perteneciente a los reales.
Hay que hacerlo con matrices o se podría hacer de otra forma? Cómo sería?
El sistema es:
ax + 4y = 2a
ax + ay = a (a-2)
Muchas gracias por la ayuda!! :D
es decir, que me quedaría algo asi?
y la justificación sería: Como el dominio de la función son todos los reales, exepto el punto (0,0), para que la funcion sea continua, entonces tiene que pasar que en el punto (0,0) la función sea igual a cero. Esta bien?
no es necesario utilizar derivadas parciales?

no, el dominio no son todos los reales, por que estamos hablando de una funcion con dominio en el plano. a exepcion del origen del cordenadas. para justificarlo bien. en todo caso con los limites parciales, pero tampoco alcanza ese criterio, es muy complicado para demostrarlo, lo mas facil con alguna funcion que pase por ese punto, pero es mucho desarrollo para poder escribirlo por aqui :( lo siento
la continuidad en un punto, en particular para (0,0), implica que:
lim (x,y) -> (0,0) F(x,y) = F(0,0)
sin embargo F no existe en (0,0), y el limite tampoco existe.
Para probar que el limite no existe prueba diferentes caminos, por ejemplo y=x^2 ; y=mx (osea reemplazas la "y" por "x^2", y sacas el limite cuando x->0; haces lo mismo reemplazando "y" por "mx", y sacas el limite cuando x->0). Veras que ambos limites te dan diferente
Me podriais resolver este problema que nose como solucinarlo, esta en Catalan no he podido traducirlo ya que es una foto
Hola es la primera vez que entro y escribo.Me gustaría saber si ayudais con las asignaturas de :contabilidad y gestión logística y comercial para plantear algunas dudas en los ejercicios o sólo se ayuda a las materias que tenéis subidas?
Un saludo