Foro de preguntas y respuestas de Matemáticas

logo beUnicoos
Los foros de unicoos se han unificado en nuestra nueva plataforma beUnicoos. Para dejar nuevas preguntas deberás hacerlo allí, donde además podrás encontrar nuevas asignaturas y herramientas para ayudarte más con tus estudios.

  • icon

    María López
    el 8/11/17

    Buenas unicoos, alguien me ayuda a resolver este problema de continuidad?


    replythumb_up0 voto/sflag
    icon

    Antonius Benedictus
    el 8/11/17

  • icon

    Ashley
    el 8/11/17

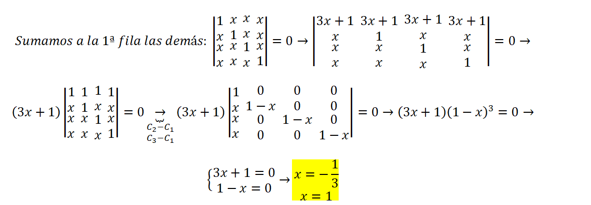
    Buenas, tengo una duda, en este ejercicio de determinantes, por qué en el paso en el que saca factor común se han eliminado la primera fila y la primera columna ?? Gracias !!


    replythumb_up0 voto/sflag
    icon

    Antonius Benedictus
    el 8/11/17

    Se aplica la "regla de Chiò":

    https://www.youtube.com/watch?v=bx-vGQFRXlo

    thumb_up0 voto/sflag
    icon

    Ashley
    el 8/11/17

    Entendido gracias!!

    thumb_up0 voto/sflag
  • icon

    Maria Garcia
    el 8/11/17

    Hola, necesito ayuda con este ejercicio. Lo he intentado hacer en borrador un montón de veces y no me sale. Un saludo, gracias.


    replythumb_up0 voto/sflag
    icon

    Antonius Benedictus
    el 8/11/17


    thumb_up1 voto/sflag
    icon

    César
    el 8/11/17


    thumb_up1 voto/sflag
  • icon

    Lsslie
    el 8/11/17

    Holaa, como hago esta ecuacion de determinantes ?? gracias 



    replythumb_up0 voto/sflag
    icon

    Guillem De La Calle Vicente
    el 8/11/17


    thumb_up1 voto/sflag
    icon

    Antonius Benedictus
    el 8/11/17

    Otra versión:


    thumb_up0 voto/sflag
  • Usuario eliminado
    el 8/11/17

    Hola Unicoos, por favor necesito saber si esta bien la demostracion delta-epsilon de este limite..

    replythumb_up0 voto/sflag
    icon

    Antonius Benedictus
    el 8/11/17


    thumb_up0 voto/sflag

    Usuario eliminado
    el 8/11/17

    y lo que hice, esta bien o mal?


    thumb_up0 voto/sflag
    icon

    Antonius Benedictus
    el 9/11/17

    Está bien.

    thumb_up1 voto/sflag

    Usuario eliminado
    el 9/11/17

    Que felicidad!! Muchas gracias!!

    thumb_up0 voto/sflag
  • icon

    cachi
    el 8/11/17

    Hello, en el último problema de otro día, no entiendo porque al restar 1_-5 me queda el signo negativo, yo lo pondría positivo

    replythumb_up0 voto/sflag
    icon

    Ángel
    el 9/11/17

    No sé a que problema te refieres...pero tienes que seguir el criterio de signos:

    Ejemplos:

    1-(-5)= 1+5= 6

    1-(+5)= 1-5= -4

    1+(-5)= 1-5= -4

     1+(+5)= 1+5= 6

    thumb_up0 voto/sflag
  • icon

    federico garcia
    el 8/11/17

    se puede mirar este ejercicio gracias

    replythumb_up0 voto/sflag
    icon

    Antonius Benedictus
    el 8/11/17

    Foto del enunciado original, por favor.

    thumb_up0 voto/sflag
  • icon

    Marest
    el 8/11/17

    Gracias Eric, pensé que 242/2 = 121 y que dicho número era primo.

    Me has ayudado mucho, de nuevo gracias.

    replythumb_up0 voto/sflag
    icon

    Ángel
    el 12/11/17

    121 no es un número primo, ya que es un cuadrado perfecto.

    121=112= 11*11


    Un saludo.

    thumb_up0 voto/sflag
  • Usuario eliminado
    el 8/11/17

    Hola Unicoos por favor como puedo demostrar estos enunciados'?



    replythumb_up0 voto/sflag
    icon

    César
    el 8/11/17


    thumb_up1 voto/sflag
    icon

    Antonius Benedictus
    el 8/11/17

    http://matematica.50webs.com/teorema-de-bolzano.html


    thumb_up0 voto/sflag
    icon

    Antonius Benedictus
    el 8/11/17


    thumb_up0 voto/sflag
    icon

    Antonius Benedictus
    el 8/11/17

    http://matematica.50webs.com/teorema-de-weierstrass.html

    thumb_up0 voto/sflag
  • icon

    andres
    el 8/11/17

    Buenas necesito ayuda con un problema de matrices por favor.

    Una cadena de hoteles posee tres hoteles:

    Hotel Edén: 6 habitaciones de lujo, 30 dobles y 10 individuales

    Hotel Paraiso: 4 de lujo, 50 dobles y 8 individuales

    Hotel Oasis Spa: 4 lujo, 50 dobles y 8 spa

    precio de habitación por noche es de 120 lujo, 80 doble y 50 individual

    a) Recoge los datos en dos matrices, indicando qué significa cada fila y columna

    b) Expresa mediante matriz los ingresos obtenidos por noche suponiendo que estuvieran completos

    replythumb_up0 voto/sflag
    icon

    César
    el 8/11/17

    Lo veo así 

    thumb_up0 voto/sflag