Foro de preguntas y respuestas de Matemáticas

logo beUnicoos
Los foros de unicoos se han unificado en nuestra nueva plataforma beUnicoos. Para dejar nuevas preguntas deberás hacerlo allí, donde además podrás encontrar nuevas asignaturas y herramientas para ayudarte más con tus estudios.

  • icon

    Moxie
    el 8/11/17

    Ayuda!

    replythumb_up0 voto/sflag
    icon

    Antonius Benedictus
    el 8/11/17


    thumb_up1 voto/sflag
  • icon

    Carmen
    el 8/11/17

    Como lo acabo??

    replythumb_up0 voto/sflag
    icon

    César
    el 8/11/17

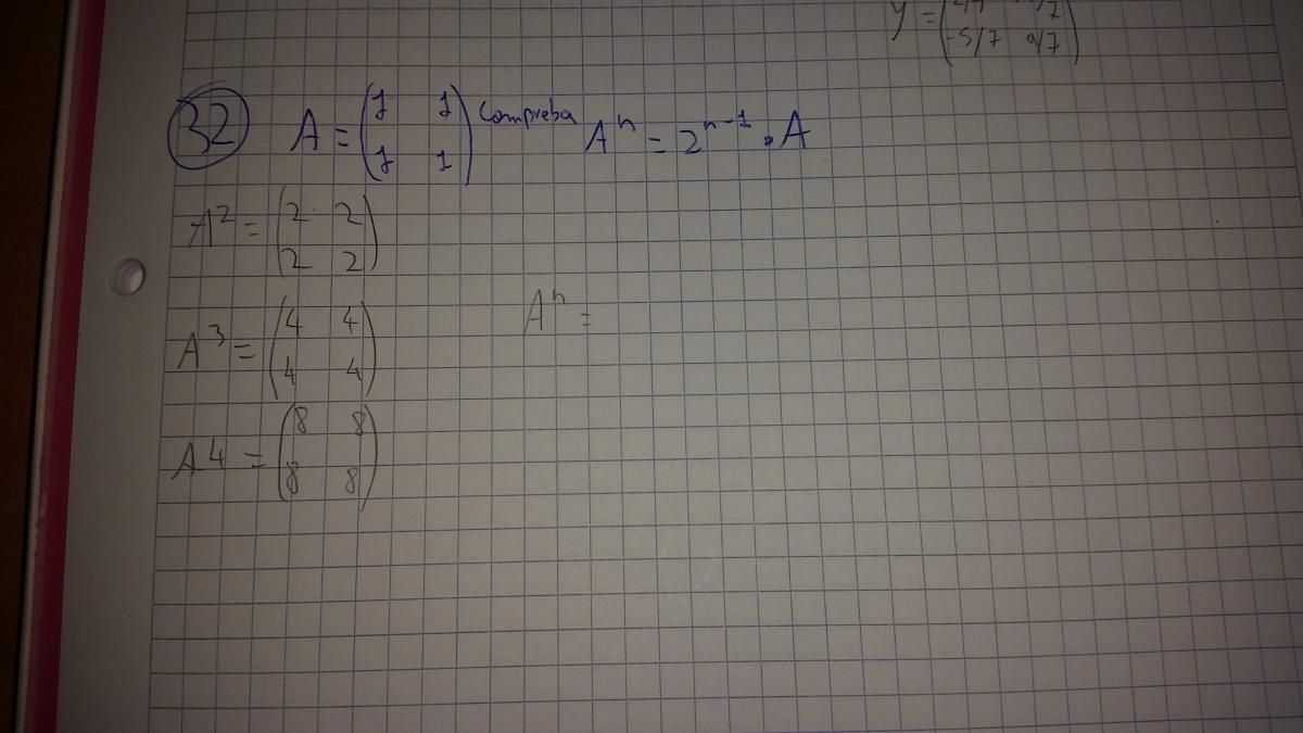
    viendo los valores de las componentes de las matrices

    2    2^2    2^3     ..... no?



    thumb_up0 voto/sflag
  • icon

    José Luis Rama Maigler
    el 8/11/17

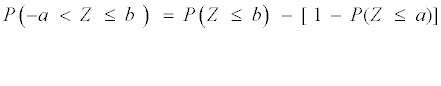
    En una distribución normal como se podria calcular lo siguiente:

    P(-4<Z<2,6)

    replythumb_up0 voto/sflag
    icon

    César
    el 8/11/17


    thumb_up0 voto/sflag
    icon

    Daniella Arriola
    el 8/11/17

    me puedes ayudar con mi pregunta porfavor (dos preguntas antes) GRACIAS! ma;ana tengo examen :(

    thumb_up0 voto/sflag
  • icon

    Julian
    el 8/11/17

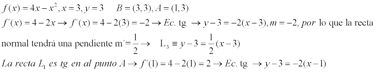
    Me podrían ayudar con esta...


    La pregunta es la siguiente 

    Encuentre la ecuación de la recta L1 y L3, sabiendo que L3 es normal a la curva F en el punto B


    replythumb_up0 voto/sflag
    icon

    César
    el 8/11/17

    Un  poco confuso el enumciado

    thumb_up1 voto/sflag
  • icon

    Daniella Arriola
    el 8/11/17

    AYUDA!

    F (x) = sin4x - (x ^ y) / 3 FIND f '''(x)



    replythumb_up0 voto/sflag
    icon

    Antonius Benedictus
    el 8/11/17

    Pon foto del enunciado original.

    thumb_up0 voto/sflag
  • icon

    José Luis Rama Maigler
    el 8/11/17


    replythumb_up0 voto/sflag
    icon

    Antonius Benedictus
    el 8/11/17


    thumb_up1 voto/sflag
    icon

    José Luis Rama Maigler
    el 8/11/17

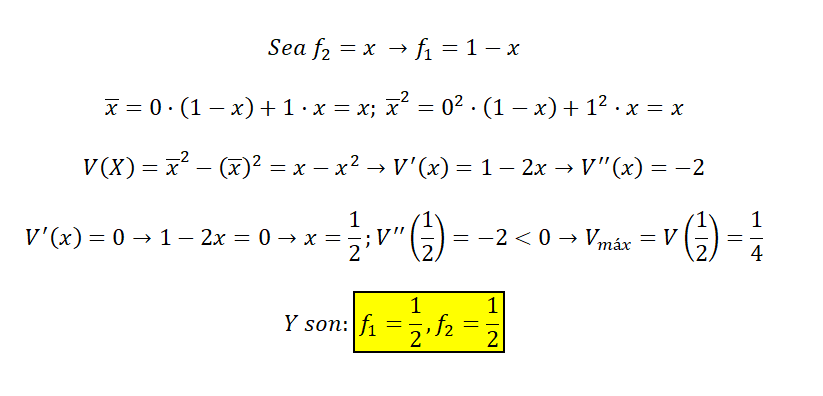
    Muchas gracias!! Pero me podrias decir de donde sale el 1,645 de los excelenntes , por favor?

    thumb_up0 voto/sflag
  • Usuario eliminado
    el 8/11/17

    Hola, buenas. No entiendo muy bien lo qué me piden.



    replythumb_up0 voto/sflag
    icon

    Antonius Benedictus
    el 8/11/17


    thumb_up1 voto/sflag
  • icon

    Tomás Marcén Gutiérrez
    el 8/11/17

    Hola muy buenas chicos, escribo en este foro para ver si me podrían ayudar con este ejercicio. 

    Necesito averiguar la matriz de cambio de coordenadas de B1 a B2.


    Un saludo y muchas gracias!

    replythumb_up0 voto/sflag
  • Usuario eliminado
    el 8/11/17

    Hola Unicoos! por favor me podrian ayudar con este ejercicio... es que no entiendo nada...

    replythumb_up0 voto/sflag
    icon

    Guillem De La Calle Vicente
    el 8/11/17


    thumb_up1 voto/sflag

    Usuario eliminado
    el 8/11/17

    Muchas gracias pero aun no entiendo porque son iguales

    thumb_up0 voto/sflag
  • icon

    Marest
    el 8/11/17

    Buenas tardes, me piden hallar la siguiente operación:

    √18 + √96 − √242 ; lo he hecho  y me da :

    6√2 + 4 √6 − √242

    Es correcto?

    Muchas gracias.

    replythumb_up0 voto/sflag
    icon

    Eric
    el 8/11/17

    No es correcto. El resultado es: -8√2 + 4√6

    La factorización del 18 está mal ya que es 3^2x2 y sacas fuera de la raíz al 3 y te queda 3√2 .

    La factorización de 96 la tienes bien.

    Y luego, ¿por qué no factorizaste el 242? De aquí te sale: -11√2

    thumb_up0 voto/sflag