SALUDOS. TENGO UNA DUDA CON EL SIGUIENTE EJERCICIO DE ESTADÍSTICA DISTRIBUCIÓN BINOMIAL. MI DUDA ES LA SIGUIENTE:
CUANDO UTILIZO N=125 Y APLICO LA FORMULA DE DISTRIBUCIÓN BINOMIAL USANDO EL VALOR DE n=125 me da unos resultados muy diferentes a los que marcan las respuestas, pero si tomo n=25 y aplico la formula en cada uno de los incisos me arroja los resultados idénticos a los del libro, ¿existe un error en la redacción del ejercicio?
Sinceramente, no entiendo cuál es el problema de responder un ejercicio o problema que se sale de los contenidos de esta página web. No sé si no nos ayudan, porque no tengan ganas o porque no sepan resolverlo. Yo creo que en un foro nos tenemos que ayudar entre todos y todas a resolver las distintas cuestiones. Que conste que lo digo desde la profunda admiración que tengo a distintas personas, que dedican horas de su tiempo libre a convertir las Matemáticas en algo más liviano a todos.
Un saludo y un fuerte abrazo a todos.-

Como bien dices, Carlos, esto es un foro. Y como tal, la única obligación de quien en él entra es la buena educación. Por lo demás, unos preguntan, otros responden, otros comentan, y todo de forma libre. La página de unicoos tiene unas limitaciones (se centra en ESO, Bachiller y en unos pocos temas de 1º de Facultad) y su asunto primordial lo constituyen los vídeos de David Calle. Para garantizar la respuesta a todas las preguntas, debería contar con una plantilla fija de especialistas universitarios en cada una de las materias (Álgebra Lineal, Análisis, Estadística, Cinética, Termodinámica...). Y resulta que aquí solo hay colaboradores voluntarios. Por eso, cuando aparece alguna pregunta que se sale de nuestros contenidos, si alguien tiene conocimiento y tiempo, la responde. O pide que se indique con un "flag". Te aseguro, en lo que a mí respecta, que algunas preguntas no puedo resolverlas, resolver otras me obligaría revisar cosas que estudié hace 40 años y mi tiempo es limitado, y otras, simplemente no estimo oportuno contestar porque nuestra misión no es hacer los deberes de los alumnos. Gracias por tus sus sugerencias y un abrazo.
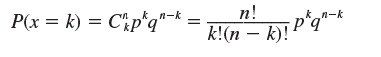
hola, me podrian ayudar con este problema....
Un jugador de basquet tira al aro hasta lograr encestar, supongamos que en cada intento aislado la probabilidad de encestar es P= 0,2 .Calcule la probabilidad de que se necesarios a lo sumo 3 tiros para lograr encestar por primera vez.
Gracias.
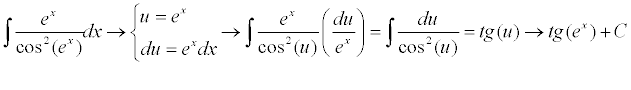
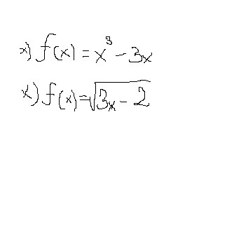
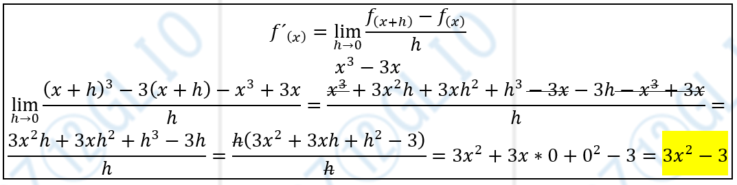
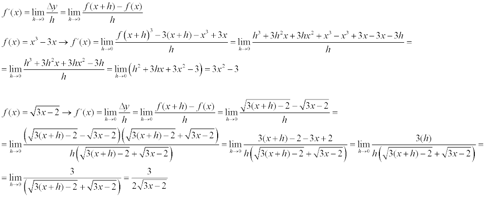
Hola, buen día, me podrían ayudar a obtener la derivada de estas dos funciones aplicando la definición, Gracias de antemano![]()
Para el primero:
https://www.unicoos.com/video/matematicas/1-bachiller/derivadas/definicion-de-derivada/derivada-utilizando-la-definicion-01
Para el segundo: