
Recuerda las propiedades de los determinantes (entre otras tantas):
1) Un factor común a los elementos de una fila (o columna) puede ser extraído fuera del determinante.
2) Si permutas dos filas (o dos columnas), entonces el determinante cambia de signo.
a)
|°) Extrae el factor común 3 de la segunda fila (propiedad 1).
2°) Permuta la tercera fila con la primera fila (propiedad 2), y observa que tienes el determinante dato (D = 10).
Luego, tienes:
Da = 3*(-1)*D = 3*(-1)*10 = -30.
b)
1°) Extrae el factor común -2 de la tercera fila (propiedad 1).
2°) Extrae el factor común -5 de la segunda columna (propiedad 1).
3°) Permuta la segunda columna con la tercera columna (propiedad 2), y observa que tienes el determinante dato (D = 10).
Luego, tienes:
Db = -2*(-5)*(-1)*D = -2*(-5)*(-1)*10 = -100.
Espero haberte ayudado.
Hola buenas tardes me podrian ayudar con este problema por favor muchas gracias de antemano
Encontrar los puntos criticos de f (si los hay), b)Determinar el(los) intervalo(s) abierto(s) sobre los cuales la funcion es creciente o decreciente , c)aplicar el criterio de la primera derivada para identificar los extremos relativos, realizar grafica. f(x)=2x^3+3x^2-12x

Observa que el dominio de la función es el conjunto de los números reales.
Luego, plantea la expresión de su función derivada primera:
f ' (x) = 6x2 + 6x - 12 = 6(x2 + x - 2) = factorizas = 6(x + 2)(x - 1).
a)
Plantea la condición de punto crítico (posible máximo o posible mínimo):
f ' (x) = 0, sustituyes y queda:
6(x + 2)(x - 1) = 0, y observa que las soluciones son:
x1 = -2 y x2 = 1.
Luego, tienes tres subintervalos, para cada uno de ellos eliges un representante y lo evalúas en la expresión de la función derivada primera:
I1 = (-∞,-2), representado por x = -3, y para él tienes: f ' (-3) = 6(-1)(-4) = 24 > 0, por lo que la gráfica de la función es creciente en este subintervalo;
I2 = (-2,1), representado por x = 0, y para él tienes: f ' (0) = 6(2)(-1) = - 12 < 0, por lo que la gráfica de la función es decreciente en este subintervalo;
I3 = (1,+∞), representado por x = 2, y para él tienes: f ' (2) = 6(4)(1) = 24 > 0, por lo que la gráfica de la función es creciente en este subintervalo.
Luego, observa que la gráfica de la función presenta:
Máximo relativo en x1 = -2, ya que pasa de creciente a decreciente para este punto crítico;
Mínimo relativo en x2 = 1, ya que pasa de decreciente a creciente en este punto crítico.
Te dejo la tarea de confeccionar la gráfica.
Espero haberte ayudado.
Hola buenas, soy un alumno de mates y estadistica de la ucm y era por si podrías hacer un video explicando como hacer integrales usando el teorema de los residuos te lo agradeceríamos tanto yo como mis compañeros de clase (te adjunto el ejercicio 3 por si te sirve) muchas gracias
esta dificil que hagan videos de eso, eso es ya analisis complejo..... pero hay varios videos de youtube sobre el tema bien explicados
pero sobre el teorema de los residuos, la idea basicamente es integrar a lo largo de una curva cerrada derivable, y esa integral sera igual a la suma de los residuos en las singularidades que encierra...
Por ejemplo la primera integral, la funcion tiene polos cuando:
1 + x⁴ = 0
tendrias 2 raices abajo del eje real, y otras arriba del eje real....para no involucrar todas las raices, y con tal de que nos quede la integral que buscamos, integras a lo largo del eje real, entre -R y R (una linea recta sobre el eje real), y luego (por arriba del eje real) en la mitad de una circunferencia de radio R, osea la curva seria la mitad de una circunferencia de radio R, con centro en (0,0)
Sea la integral que buscas, "K", esa funcion en particular es par, por tanto K = (1/2) ∫ (-∞, ∞) f(x) dx (es la mitad de la integral entre -∞ y ∞ de la misma funcion)
Luego te queda por teorema de residuos:
R
∫ dz/(1+z⁴) + ∫ [C] dz/(1+z⁴) = ∑ Re(f)
-R
(el "R" es infinito, pero lo obviamos por ahora)
( [C] es la otra parte de la curva, la mitad de la circunferencia).
Los residuos los sacas facil, ahora lo importante es probar que la integral a lo largo de [C] es cero y tendrias el ejercicio listo. Esto se hace acotando la integral con la siguiente propiedad:
| ∫ f(x)dx | ≤ ∫ |f(x)|dx
Aplicandolo a la integral:
| ∫ dz/(1+z⁴) | ≤ ∫ dz/|1+z⁴|
(aunque no lo puse, estamos integrando a lo largo de la curva [C] )
ahora, tienes que |1+z⁴| ≥ |z⁴| y como estamos trabajando en una circunferencia de radio R, con centro en (0,0), el modulo de z es R:
≤ ∫ dz/|1+z⁴| ≤ ∫ dz/|z⁴| = ∫ dz/R⁴ = (1/R⁴) ∫ dz
y la integral a lo largo de [C] es la longitud de esa curva, que como es la mitad de una circunferencia, es πR:
(1/R⁴) ∫ dz = πR/R⁴ = π/R³
Y si evaluamos el limite cuando R->∞, nos da cero. por lo que la segunda integral es cero, y con esto nos queda:
R
∫ dz/(1+z⁴) = ∑ Re(f)
-R
Y aplicas el limite a la integral R->∞
.........∞
(1/2) ∫ dz/(1+z⁴) = (1/2) ∑ Re(f) = K
........-∞
Hola, tengo problemas para resolver el siguiente ejercicio, no se que hacer. No es necesario que lo resuelvan, si no explicarme que pasos tengo que seguir. Gracias. Ejercicio: Representa las siguientes parábolas, hallando el vértice, algunos puntos próximos a él y los puntos de corte con los ejes:
a) y = (x+4)2 b) y= 1/3 x2 + 2x c) y= -3x2 + 6x -3 d) y= -x2+5
d) y= -x2+5= -x2+0x+5= ax2+bx+c ------> a= -2, b=0, c=5
Como el x2 tiene signo negativo es convexa hacia abajo (su gráfica tiene esta forma ∩ )
El vértice es:
-b/(2a)= -0/(2*((-2)) = 0 es la coordenada x
y=-02+5 -----> 5 es la coordenada y
El vértice es V(0,5) , y además es punto de intersección con el eje Y
Hallamos los puntos de intersección con el eje X :
Cuando y=0, 0= -x2+5 -----> x2=5 -----> x1= -√5 , x2= √5
P(-√5,0) , P(√5,0)
**El apartado a) se te corrigió y explicó la semana pasada (mira en tus últimas consultas).
Una ayudita en estos dos problemas? :
-Si x = (log8 2)(log2 8), ¿a cuanto es igual el log3 x?
-Si el resto de la division de un polinomio P(x) entre (x − 1) es 2 y entre (x + 1) es 4, ¿cual es el resto de la divison de de P(x) entre (x2 − 1)?

Recuerda el Algoritmo de Euclides. Luego, haces el planteo para el divisor (x2 − 1), y observa que el resto es un polinomio de grado 1 como máximo:
P(x) = C(x)*(x2 − 1) + a*x + b,
donde C(x) es el polinomio cociente, y R(x) = a*x + b es el polinomio resto.
Luego, tienes los datos (observa que aplicamos el Teorema del Resto):
1)
P(1) = 2, sustituyes la expresión evaluada del polinomio en el primer miembro, cancelas el término nulo, y queda:
a + b = 2, aquí haces pasaje de término, y queda: b = 2 - a (1);
2)
P(-1) = 4, sustituyes la expresión evaluada del polinomio en el primer miembro, cancelas el término nulo, y queda:
-a + b = 4 (2).
Luego, sustituyes la expresión señalada (1) en la ecuación señalada (2), y queda:
2 - 2a = 4, haces pasaje de término, y queda: -2a = 2, haces pasaje de factor como divisor, y queda: a = -1;
luego, reemplazas en la ecuación señalada (1), y queda: b = 3.
Luego, reemplazas en la expresión del polinomio resto, y queda:
R(x) = -x + 3.
Espero haberte ayudado.

Aplicas la definición de logaritmo, y tienes:
log8(2) = 1/3, porque 81/3 = 2;
log2(8) = 3, porque 23 = 8;
luego, plantea la expresión de la incógnita:
x = log8(2) * log2(8) = reemplazas = (1/3)*3 = 1.
Luego, plantea:
log3(x) = reemplazas = log3(1) = 0, porque 30 = 1.
Espero haberte ayudado.
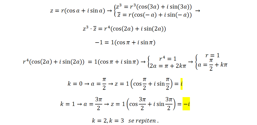
Alguien sabria decirme los ideales de Z[√-6]? Y si el ideal (3) es primo?

¡Hola! Nos encantaría ayudarte, pero no solemos responder dudas universitarias que no tengan que ver específicamente con los vídeos que David Calle ha grabado como excepción. O de otras asignaturas que no sean Matemáticas, Física y Química. Lo sentimos de corazón… Esperamos que lo entiendas.
Ojalá algún unicoo universitario se anime a ayudarte (de hecho, lo ideal es que todos los universitarios intentarais ayudaros los unos a los otros).
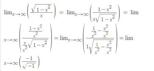
Me podrian dar una mano cuando lo hago me da raiz de -1 y de otra forma me queda abajo infinito por 0.

Tienes la función cuya expresión es:
f(x) ) = √(1 - x2)/x,
y recuerda, que antes de abordar una tarea con una función es MUY IMPORTANTE establecer cuál es su dominio; luego, observa que la expresión impone dos condiciones:
a)
x ≠ 0 (para que no se anule el denominador de la expresión);
b)
1 - x2 ≥ 0 (para que la raíz cuadrada en el numerador tome valores reales),
aquí haces pasaje de término, y queda:
- x2 ≥ -1, luego multiplicas por -1 en ambos miembros (observa que cambia la desigualdad), y queda:
x2 ≤ 1, haces pasaje de potencia como raíz (observa que el exponente es par), y queda:
|x| ≤ 1, luego expresas esta última inecuación como intervalo, y queda:
x ∈ [-1,1].
Luego, con las dos condiciones remarcadas, tienes que el dominio de la función queda:
D = [-1,0) ∪ (0,1].
Luego, observa que la función NO ESTÁ DEFINIDA fuera del dominio, o sea, en el intervalo: (-∞,-1) ∪ (1,+∞).
Luego, tienes:
f(-1) = 0, f(1) = 0, que son los valores que toma la función en los extremos de su dominio;
Lím(x→0-) f(x) = -∞,
por lo que la gráfica de la función presenta asíntota vertical inferior izquierda cuya ecuación es: x = 0,
Lím(x→0+) f(x) = +∞,
por lo que la gráfica de la función presenta asíntota vertical superior derecha cuya ecuación es: x = 0,
y observa que la gráfica de la función no presenta asíntotas horizontales, ya que no corresponde tomar límtes para x tendiendo a +infinito o -infinito, porque se estaría considerando valores de la variable x que no pertenecen al dominio de la función.
Espero haberte ayudado.
Un ranchero tiene 300m de malla para cercar 2 corrales rectangulares iguales y contiguos, es decir, que comparten un lado de la cerca.Determinar las dimenciones de los corrales para que el área cercada sea máxima
El problema pide que aplique el criterio de la segunda derivada
Me podrian ayudar por favor de antemano gracias