Buenas, me estoy complicando la vida debido a que necesito hallar el log2(60) = x hasta la fecha nunca he sabido hacer logaritmos, sin embargo hoy me tomé mi tiempo para entenderlos, al menos la parte sencilla. Según mi profesor de redes, el resultado es 6, (Según la calculadora da 5.x dónde x > 0.5 y por lo tanto se resume a 6) ya que lo que necesitamos es obtener el número de bits a coger para la cantidad de hosts.
La cosa es, si yo tengo log2(8) = 3 porque 8 = 23
El problema con log2(60) es que 60 equivale a (22*15) y a partir de aquí no sé que hacer con ese 15.
He buscado varios videotutoriales pero todos trabajan con números enteros, y yo necesito el resultado decimal para saber si necesito coger a ó n numero de bits.
Gracias.
log2(60)=log2(4*15)=log2(4)+log2(15)=2+log2(15). Se usó la propiedad de logx(ab)=logxa + logxb
Ahora, como lo que buscas es una aproximación se podría considerar que 15 al ser cercano a 16 se puede tomar al log2(15) como muy cercano al log2(16), pero log2(16)=4
entonces tendriamos que 2 + log2(15) sería aproximadamente 2+ log2(16) que sería igual a 2 +4, resultando en una aproximación a 6.

Ya veo, muchisimas gracias!
Por último, sino es molestia, ¿cómo sé cuándo n debe estar más cerca de x o y, y como se obtendría el valor que da la calculadora?
Me refiero, en este caso entiendo que 15 este más cerca de 16 =>(24) que de 8 => (23) pero ¿qué pasaría con números más grandes? y de dónde saca la calculadora ese maldito número decimal jaja!
Lo dicho, muchas gracias-
Buenas tardes ,
tengo este ejercicio y me pregunto si los esatdos de J y K estan en modo basculacion es decir 1-1, y como va a fectar que el cambio sea en el flanco negativo, y si las tablas de secuencia se refiere a la tabla del esatdo sguiente. si alguien puede ayudarme agradeceria.
muchas gracias.
Alberto
no se realizar este ejercicio podría ayudarme?
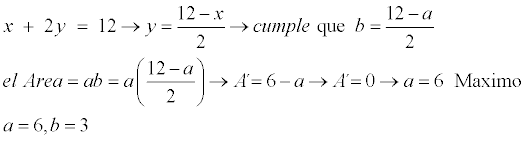
La recta x + 2y = 12 determina con los semiejes positivos
un triángulo rectángulo. Inscribimos en este un rectángulo de vértices
(0, 0), (a, 0), (0, b) y (a, b). El valor de b para el cual el área de este rectángulo
es máxima es:
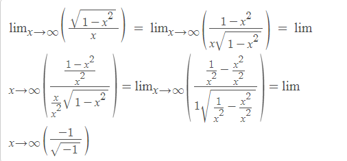
Intente dividir la ecuación ente x al cuadrado pero me queda infinito por 0 me podrian dar una mano?
lim(x→∞) (√(1-x2))÷x=
lim(x→∞) (√(1-x2)√(1-x2))÷ x√(1-x2)=
lim(x→∞) (1-x2)÷ x√(1-x2)=
lim(x→∞) (1-x2)÷ x√(1-x2)=
lim(x→∞) (1-x2)/x2÷ x(√(1-x2))/x2=
lim(x→∞) ((1/x2)-(x2/x2))÷ x(√((1/x4)-(x2/x4)))=
lim(x→∞) ((1/x2)-1)÷ x(√((1/x4)-(1/x2)))=
((1/∞2)-1)÷ ∞(√((1/∞4)-(1/∞2)))=
(0-1) ÷ ∞*(√(0-0))=
-1 ÷ 0=
- infinito