Hola, me podrían ayudar con este ejercicio sin aplicar L'hopital: Limite cuando x tiende a -1 de (x+1)Ln2 (x+1)
No encuentro la forma de resolverlo sin usar L'hopital
supongo que por comparacion de infinitos
y = lim (x->-1) (x+1) log²(x+1)
sea u = log(x+1), entonces e^(u) = x+1, teniendo en cuenta que lim(x->-1) log(x+1) = -∞ tenemos:
y = lim (u->-∞) e^u * u²
Para sacar el signo menos en el infinito, hacemos otro cambio de variable....al final te queda:
y = lim(u->∞) e^(-u) ¨u² = u² / e^u
por comparacion de infinitos, el orden de la exponencial es mayor que el orden de la potencia (es como si la exponencial creciera mas rapido que la potencia, a medida que se acercan a infinito),y por tato el limite es 0.
Tambien se podria haber hecho por comparacion de infinitesimos, pero personalmente es un poco confuso y prefiero este
http://www.vadenumeros.es/segundo/infinitesimos-ordenes-de-infinito.htm
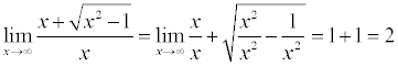
Quién es el valiente? Necesito ayuda.
lim x + (√ x 2 - 1) ÷ x
x→+∞

Gracias César. Me costo llegar a la suma de unos, pero lo conseguí. Me gustaría preguntarte si se puede plantear aplicando la identidad notable diferencia de cuadrados. Yo en un principio lo planteé de esa forma pero no consigo llegar al resultado que vos llegas. Si se pudiese y te animaras a hacerlo de esa forma, me gustaría ver tu planteo. Muchas gracias por tu disposición. Un saludo!
¿Por qué al calcular la inversa de una matriz, sale el mismo resultado que la matriz original?
¿Qué determina que una función potencia sea inyectiva o biyectiva? Ejemplo: f(x)=x2, o bien, no sé, f(x)=x3+7. ¿Cómo me doy cuenta?

para ver la injectividad, sobreyectividad o la biyectividad, tenes que mirar tu conjunto imagen, en donde si hay algun elemento de Y que no le corresponda al menos un valor (osea que pueden haber mas de 1 valor de x para una y) entonces no comple la la inyectividad.
te lo explico con un ejemplo . si tomas la funcion fx=x2
(considero que sabes como es el grafico de x^2)
uVeras que para las y negativas. no hay valor de x que les corresponda. entonces si quieres que cumpla con la condicion de inyectividad, acotas el conjunto imagen a [0, +∞)
Ahora para la biyectividad tiene que cumplir la condicion anterior, y ademas que para cada elementos del conjunto imagen le tiene que corresponder un unico valor de X.
para el caso de la funcion fx=x2
veras que para cada valor de Y le corresponden 2 valores de de x. osea, para y=4 le corresponde x=2 y x=-2
por lo que si quieres que sea biyectivida, ademas de la condicion primera que te di, tendrias que acotar el dominio a (-∞,0] o [0, +∞). pero si no te piden modificar la funcion para que cumplan esas caracteristicas no hace falta acortar nada, por que seguirian siendo funcion aun sin cumplir estas condiciones
si quieres un ejemplo de una que si cumpla esas caracteristicas tiene la funcion fx=x3