Tengo que hacer un ejercicio que pide sacar factor común y usar las identidades notables para factorizar. Hay 3 apartados que no sé hacerlos y si alguien me ayuda lo agradecería.
9x4-6x3+x2
25x15-15x8+1/4x
x6/4 - x4 + x2
Gracias ;-)

1)
Extraes factor común, y queda:
9x4 - 6x3 + x2 = x2(9x2 - 6x + 1) =
factorizas el trinomio cuadrado perfecto en el agrupamiento, y queda:
= x2(3x - 1)2.
2)
Extraes factor común, y queda:
25x15 - 15x8 + 1/4x = x(25x14 - 15x7 + 1/4).
3)
Extraes factor común, y queda:
x6/4 - x4 + x2 = x2(x4/4 - x2 + 1) =
factorizas el trinomio cuadrado perfecto en el agrupamiento, y queda:
= x2(x2/2 - 1)2.
Espero haberte ayudado.

Puedes llamar:
x = edad actual del perro (en meses),
y = edad actual de Isa (en años).
Luego, tienes en tu enunciado:
1)
"la edad actual del perro (en meses) es la mitad de la edad de Isa (en años)",
a lo que corresponde la ecuación:
x = (1/2)*y (1);
2)
debes tener en cuenta que 5 años, corresponden a 5*12 = 60 meses;
luego tienes en tu enunciado:
"dentro de cinco años, la edad del perrito (en meses) será cinco unidades mayor que el doble de la edad de Isa (en años)".
a lo que corresponde la ecuación:
x + 60 = 2*y + 5 (2).
Luego, sustituyes la expresión señalada (1) en la ecuación señalada (2), y queda:
(1/2)*y + 60 = 2*y + 5, multiplicas por 2 en todos los términos de la ecuación, y queda:
y + 120 = 4*y + 10, haces pasajes de términos, y queda:
y - 4*y = 10 - 120, reduces términos semejantes, y queda:
-3*y = - 110, haces pasaje de factor como divisor, y queda:
y = 110/3 (1);
que expresada en años y fracción de año, queda:
y = 36 + 2/3 (en años),
por lo que tienes que la edad actual de Isa, expresada en años y meses, queda:
y = 36 años y 8 meses.
Luego, reemplazas el valor señalado (1) en la primera ecuación, y queda:
x = (1/2)*(110/3), resuelves, y queda:
y = 55/3,
que expresada en meses y fracción de mes, queda:
x = 18 + 1/3 (en meses),
por lo que tienes que la edad actual del perro, expresada en meses y días, queda:
x = 18 meses y 10 días.
Espero haberte ayudado.
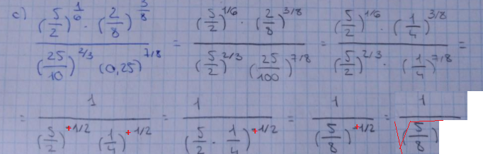
Buenas! He intentado resolver este ejercicio del tema de potencias y radicales pero me lío muchísimo a la hora de hacerlos porque cuando realizo las potencias no sé si poner el resultado en el numerador o en el denominador. Tengo examen la semana que viene ¿podéis decirme si los hago correctamente?
Os agradecería mucho la ayuda!

Puedes aplicar el Teorema Fundamental del Cálculo Integral, por lo que la expresión de la derivada de la función posición, cuya expresión tienes en el enunciado, queda:
s ' (t) = v(t) = g(t)*1 = g(t) (en m/s).
a)
Observa que el punto de coordenadas (3,0) pertenece a la gráfica de la función g, por lo que tienes
v(3) = g(3) = 0.
b)
Para la posición correspondiente al instante en estudio (t = 3), recuerda que la misma corresponde con el área orientada comprendida entre el eje de abscisas (eje t), y el eje de ordenadas (eje g(t).
Observa también que para el intervalo: 0 ≤ t ≤ 3 tienes que la gráfica de la función g es, aproximadamente, un segmento, cuyos extremos son los puntos (0,-6) y (3,0), y observa además que la región delimitada por dicho segmento, el eje de abscisas y el eje de ordenadas, es aproximadamente un triángulo rectángulo ubicado en el cuarto cuadrante, cuyas dimensiones son: base = 3, altura = 6, por lo que su área queda: A = 3*6/2 = 9 y, como la región está incluida en el semiplano inferior ("por debajo" del eje de abscisas), tienes que la posición es:
s(3) = 0∫3 v(t)*dt = 0∫3 g(x)*dx = Área Orientada = - 9 m.
Espero haberte ayudado.
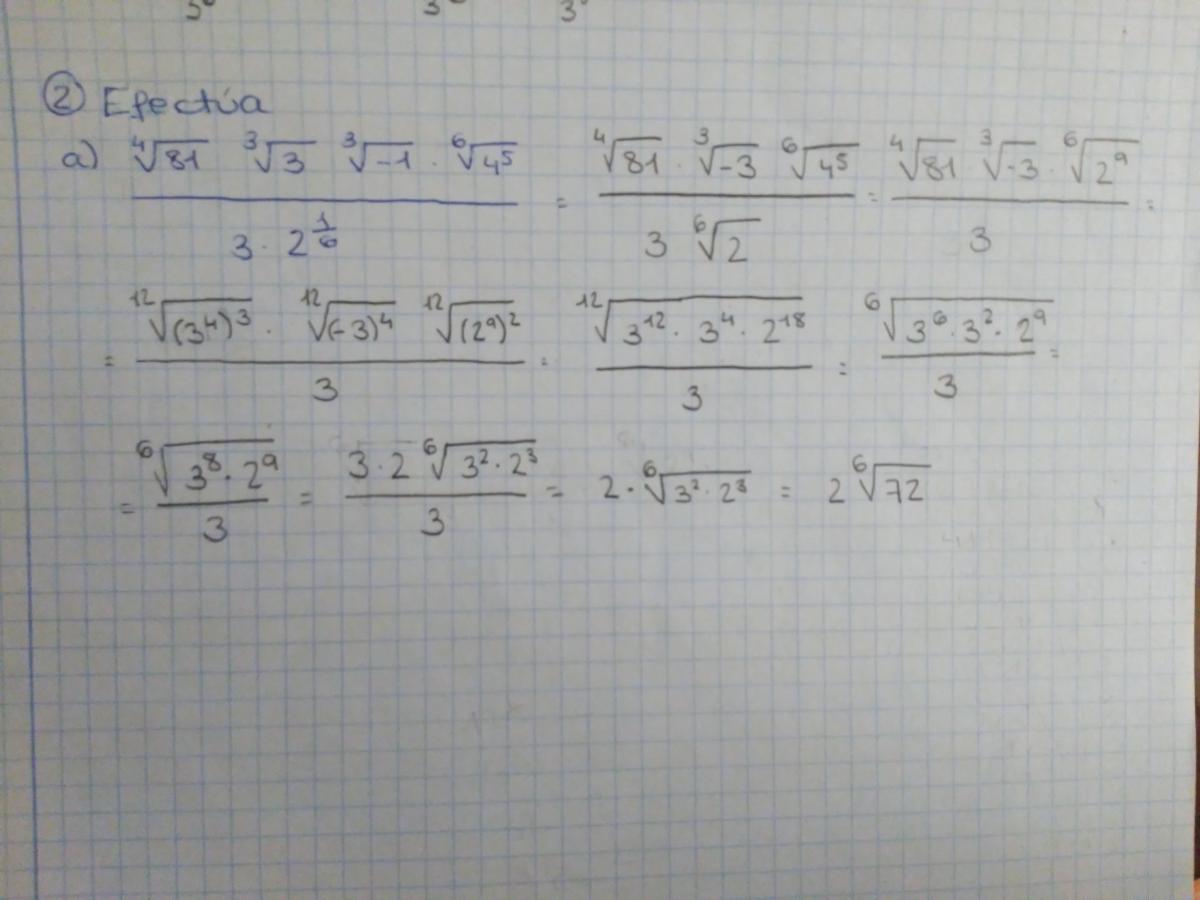
Hola gente, vengo de rendir un exámen. Y la verdad es que estos ejercicios me dejaron sonando la cabeza. (El 1 a y b y el 2 a). Les agradecería mucho su ayuda.

Para el primero, te sugiero estos videos
Integral racional en fracciones simples 01Y para el segundo, que veas los videos de integracion con cambio de variable.
Integral con cambio de variable 01
A partir de ahí, se trata de que DESPUES DE IR A CLASE (ver los vídeos
relacionados con vuestras dudas) enviéis dudas concretas, muy concretas. Y que
nos enviéis también todo aquello que hayais conseguido hacer por vosotros
mismos. Paso a paso, esté bien o mal. No solo el enunciado. De esa manera
podremos saber vuestro nivel, en que podemos ayudaros, cuales son vuestros
fallos.... Y el trabajo duro será el vuestro. Nos cuentas ¿ok? #nosvemosenclase
;-)
Con el 2 no puedo ayudarte porque es sin duda, un problema universitario y en mi caso, las sumatorias se escpana de mi campo de accion