
Observa que se cumple:
1) El vector nulo: N = <0,0,0> ∈ W.
2) La suma de vectores pertenecientes a W pertenece a W (observa que si sumas componente a componente, tienes sumas entre números racionales, cuyo resultado es otro número racional).
Pero observa que no se cumple que para todo k ∈ R, y para todo v = <a,b,c> perteneciente a W, tienes que:
k*v = <k*a,k*b,k*c> pertenece a W, y lo puedes poner en evidencia con un contraejemplo:
sea k = π ∈ R, y sea v = <1,1,1/2> ∈ W,
y luego tienes: k*v = π*<1,1,1/2> = <π,π,π/2> ∉ W.
También observa que si el cuerpo de escalares es Q (conjunto de los números racionales), que con la suma y el producto conforma un cuerpo conmutativo, entonces si tienes que W es un subespacio vectorial, pero de Q3 (conjunto de vectores con tres componentes racionales).
Espero haberte ayudado.
Hola, tengo una duda sobre funciones: ¿Qué relación existe entre el crecimiento o el decrecimiento de una recta y su pendiente?
Puede ser f(x)= ax +c , entonces si "a" es positiva indica que la función crece y si es negativa que la función es decreciente, ¿Esta bien?
Hola buenas noches. Se que la pregunta no es de matemáticas, pero de verdad que necesito la respuesta. Me gustaría que me dijeran: ¿que es un arancel y cuando se desarrolló(muy breve)?, es para historia. Bueno, muchas gracias. Un saludo.

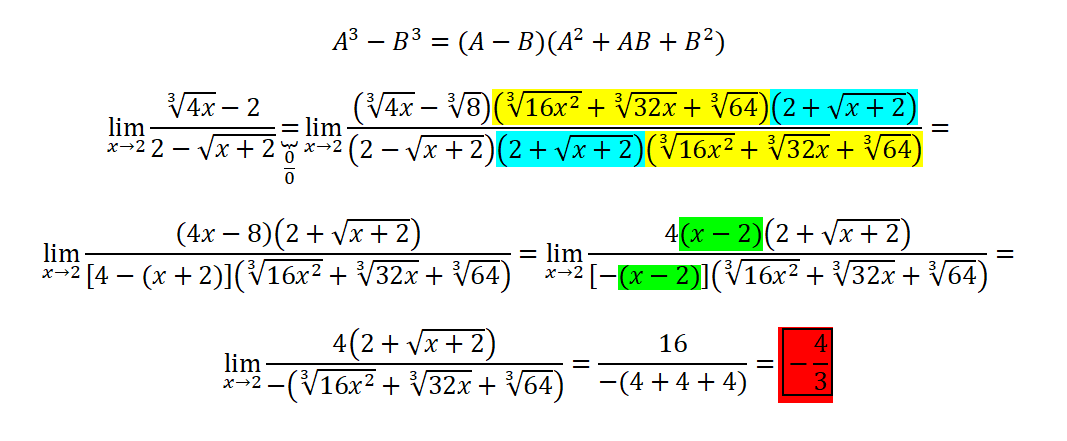
Debes multiplicar al numerador (N) y al denominador (D) por la expresión
( ( ∛(4x) )2 + 2*∛(4x) + 22 )*( 2 + √(x+2) ),
pero observa que ordenamos factores en forma conveniente:
N = (∛(4x) - 2)*( ( ∛(4x) )2 + 2*∛(4x) + 22 )*( 2 + √(x+2) ),
D = ( 2 - √(x+2) )*( 2 + √(x+2) )*( ( ∛(4x) )2 + 2*∛(4x) + 22 ).
Luego, tanto en el numerador como en el denominador, distribuyes entre sus dos primeros factores (te dejo la tarea, y observarás que tendrás cancelaciones y simplificaciones), y quedan:
N = (4x - 8)*( 2 + √(x+2) = 4*(x - 2)*( 2 + √(x+2) ),
D = ( 4 - (x+2) )*( ( ∛(4x) )2 + 2*∛(4x) + 22 ) = (-x + 2)*( ( ∛(4x) )2 + 2*∛(4x) + 22 ) =
= -1*(x -2)*( ( ∛(4x) )2 + 2*∛(4x) + 22 ).
Luego, observa que podrás simplificar el factor remarcado, y verás finalmente, el límite queda:
Lím(x→2) ( 4*( 2 + √(x+2) ) / ( -1*( ( ∛(4x) )2 + 2*∛(4x) + 22 ) ) =
= ( 4*(2 + 2) ) / ( -1*( 4 + 4 + 4 ) = 16 / (-12) = - 4/3.
Espero haberte ayudado.
Hola, me podrían ayudar a resolver estos dos problemas. Tengo el resultado, pero no sé cómo llegar al mismo.
1- Un estudiante debe elegir uno de los cursos siguientes: Matemática, Física, Química y Biología. Basándose en el interés que él ha manifestado, su profesor piensa que las asignaturas tienen la probabilidad 0,4; 0,3; 0,2; 0,1 respectivamente de ser elegidas. El profesor no sabe cuál ha sido la elección efectuada pero sabe que el estudiante ha obtenido la nota A. Estima que las probabilidades de obtener A son 0,1 para Matemática, 0,2 para Física 0,3 para Química y 0,9 para Biología. ¿Cuál es la probabilidad de que el estudiante haya elegido Matemática?
Respuesta: 4/25
2- Un análisis tiene efectividad del 99 % para detectar la presencia de un virus, con lo que se quiere decir que la probabilidad. de que dé resultado positivo cuando está el virus vale 0,99 y la prob. de un resultado negativo cuando no hay virus es 0,99. Se realiza masivamente el análisis a una población en la que hay un uno por ciento de afectados. Se desea saber qué porcentaje de personas con resultados positivo poseen efectivamente el virus
Respuesta: ½
Muchas Gracias.
https://www.unicoos.com/video/matematicas/2-bachiller/probabilidad/conceptos-basicos/probabilidad-condicionada-y-leyes-de-morgan
Manda tu intento y te ayudamos.
----------------------------
2) (0.01*0.99)÷(0.01*0.99+0.01*0.99)= ½
¿Cuál es la utilidad de pasar una función de distribución binomial a una normal? ¿Y cómo se hace?
¿Cuál es la utilidad de pasar una función de distribución binomial a una normal?
http://www.bioingenieria.edu.ar/academica/catedras/probabilidad/archivos/material/unidad-6.pdf (diapositiva 15)
¿Y cómo se hace?
https://www.unicoos.com/buscar?nombre=distribucion+binomial
ayuda con este ejercicio ∛5√5 (la última raíz dentro de la anterior), no entiendo porque hay qye multiplicar una raiz por la raiz sexta de la misma .......

Vamos con la misma idea del colega Ángel, con comentarios, a ver si te resultan útiles.
Observa que puedes escribir (observa que introduces una raíz cuadrada, por lo tanto tienes un cuadrado en su argumento, y observa que si simplificas el índice de la raíz con el exponente de la potencia, tienes el valor inicial):
5 = √((25) = √(52) (1).
Luego, plantea la expresión que tienes en el enunciado:
∛( 5*√(5) ) =
sustituyes la expresión señalada (1) en el primer factor del argumento:
= ∛( √(52)*√(5) ) =
asocias las raíces cuadradas en el argumento:
= ∛( √(52*5) ) =
aplicas la propiedad del producto de potencias con bases iguales (recuerda que se suman lo exponentes) en el argumento de la raíz cuadrada:
= ∛( √(53) ) =
aplicas la propiedad de la raíz cuyo argumento es otra raíz (recuerda que se multiplican los índices):
= 6√(53) =
simplificas el índice de la raíz con el exponente de la potencia, y queda:
= √(5).
Espero haberte ayudado.