Foro de preguntas y respuestas de Matemáticas

logo beUnicoos
Los foros de unicoos se han unificado en nuestra nueva plataforma beUnicoos. Para dejar nuevas preguntas deberás hacerlo allí, donde además podrás encontrar nuevas asignaturas y herramientas para ayudarte más con tus estudios.

  • icon

    Guillem De La Calle Vicente
    el 25/10/17

    Pruebe la propiedad siguiente, donde A,B y C son subconjuntos de un conjunto X.

    A ∪ B = A ∪ C    y    A ∩ B = A ∩ C       si y solo si     B = C.

    replythumb_up0 voto/sflag
    icon

    Antonius Benedictus
    el 25/10/17


    thumb_up0 voto/sflag
  • icon

    Jose
    el 25/10/17

    No consigo saber la continuidad de la siguiente función:

    Seria posible que alguien me ayudara?

    replythumb_up0 voto/sflag
    icon

    Antonius Benedictus
    el 25/10/17


    thumb_up0 voto/sflag
  • icon

    Jose
    el 25/10/17

    Alguien me ayuda con esto?

    Gracias de antemano.

    replythumb_up0 voto/sflag
    icon

    Antonius Benedictus
    el 25/10/17


    thumb_up0 voto/sflag
  • icon

    Guillem De La Calle Vicente
    el 25/10/17

    Pruebe la propiedad siguiente, donde A y B son subconjuntos de un conjunto X.

    A ∪ B = (A \ B) ∪ (B \ A) ∪ (A ∩ B).

    replythumb_up0 voto/sflag
    icon

    Antonius Benedictus
    el 25/10/17


    thumb_up0 voto/sflag
  • icon

    Joel Coppa
    el 25/10/17

    Hola unicoos, me dicen Como se hace esto 

    replythumb_up0 voto/sflag
    icon

    Guillem De La Calle Vicente
    el 25/10/17


    thumb_up1 voto/sflag
    icon

    Joel Coppa
    el 26/10/17

    gracias, con un ejemplo con  a y b me podrias explicar ?

     

    thumb_up0 voto/sflag
  • icon

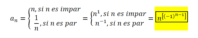
    Gekka
    el 25/10/17

    Hola, para hallar el termino general de esto?


    1, 1/2, 3, 1/4, 5

    replythumb_up0 voto/sflag
    icon

    Antonio
    el 25/10/17

    An= n si es n impar y 1/n si n es par

    thumb_up0 voto/sflag
    icon

    Antonius Benedictus
    el 25/10/17


    thumb_up0 voto/sflag
  • icon

    bboy Fabian
    el 25/10/17

    hola unicos, una ayuda con esta derivada

    y= (arcosen x )/x

    replythumb_up0 voto/sflag
    icon

    Antonius Benedictus
    el 25/10/17


    thumb_up0 voto/sflag
  • icon

    Lola
    el 25/10/17

    Hola Inicios,podrían ayudarme con esto? Muchas gracias de ante mano!

    Y=7^(x-1)

    a)cual es el dominio?

    B)cual es la imagen?

    C)cual es el conjunto de positividad?

    D)cual es el conjunto de negatividad?

    E)cual es la raíz de la funcion ?

    F) cual es la ordenada al origen?

    H)cuales son las asíntotas?

    replythumb_up0 voto/sflag
    icon

    Antonio
    el 25/10/17

    a)cual es el dominio? 

    B)cual es la imagen? (0,+∞)

    C)cual es el conjunto de positividad? ℛ

    D)cual es el conjunto de negatividad? 

    E)cual es la raíz de la funcion ? no tiene

    F) cual es la ordenada al origen? 1/7

    H)cuales son las asíntotas? horizontal por la izquierda y=0

    thumb_up0 voto/sflag
  • icon

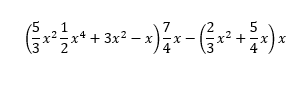
    Jhoan Gomez
    el 25/10/17
    flag

    hola necesito ayuda con este polinomio 

    replythumb_up0 voto/sflag

    Usuario eliminado
    el 25/10/17

    Que necesitas saber?

    thumb_up0 voto/sflag
    icon

    Jhoan Gomez
    el 25/10/17

    si me pueden ayudar a resolverlo con el procedimiento es que tengo varios asi y si se como se hace ese podre hacer los demas gracias

    thumb_up0 voto/sflag
    icon

    Guillem De La Calle Vicente
    el 25/10/17

    Pero que te pide el enunciado? Resolver un polinomio no significa nada.

    Saludos.

    thumb_up0 voto/sflag
  • Usuario eliminado
    el 25/10/17

    Hola alguno sabe como se resuelven las matrices en las que tengo mas ecuaciones que incognitas (Las ecuaciones son linealmente independientes entre si) Saludos y gracias desde ya


    replythumb_up0 voto/sflag
    icon

    Antonius Benedictus
    el 25/10/17


    thumb_up0 voto/sflag