Resuelve (ME AYUDAN???? PORFAVOR)
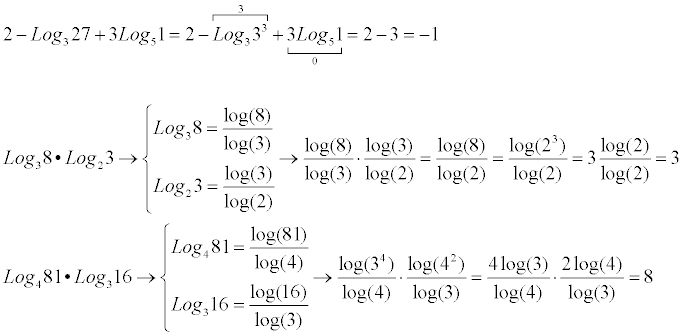
2-Log327+3Log51
Haz un cambio de base y simplifica
Log38•Log23
Log481•Log316
No entiendo qué hice mal acá, porque según tengo entendido, lo que no puede equivaler a cero es el denominador, no equis. Y si el denominador fuera cero, el valor de equis sería -5/2. ¿Alguien me puede explicar?

Plantea para el dominio de la función:
2x + 5 ≠ 0, de donde despejas: x ≠ -5/2, y el dominio queda: Df = R - { -5/2 }.
Luego, plantea:
y = f(x), sustituyes la expresión de la función, y queda:
y = 3/(2x + 5), haces pasajes de divisor y de factor, y queda
2x + 5 = 3*(1/y), haces pasaje de término, y queda:
2x = 3*(1/y) - 5, multiplicas por 1/2 en todos los términos de la ecuación, y queda:
x = (3/2)*(1/y) - 5/2.
luego, tienes para la imagen (o recorrido) de la función: y ≠ 0,
por lo que tienes: Rf = R - { 0 }.
Espero haberte ayudado.