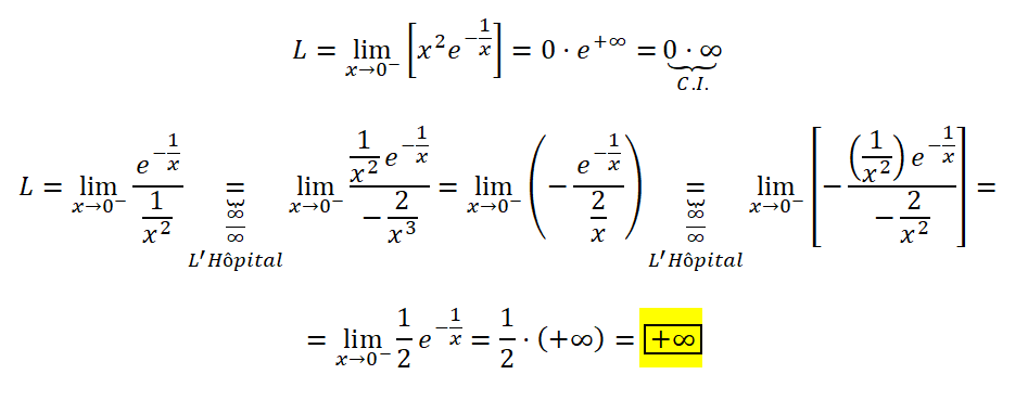
Este ejercicio en la solución dice que da -19/3 pero a mi me da 2/-6 que estoy haciendo mal? x/4 + 3/2 = 3x/4 + 5/3
hice lo siguiente hayé el mcm de los denominadores entonces quedó así 3x/12 + 18/12 = 9x/12 +20/12 = 3x - 9x= -6x = 20-18= 2 = x=2/-6

Puedes plantear el logaritmo natural del límite:
ln(L) = ln( Lím(x→0+) (senx)x ),
observa que el logaritmo natural es una función continua, por lo tanto planteas:
ln(L) = Lím(x→0+) ln( (senx)x ),
luego, aplicas la propiedad del logaritmo de una potencia, y queda:
ln(L) = Lím(x→0+) x*ln(senx),
luego, aplicas la sustitución:
x = 1/w (observa que w tiende a +infinito cuando x tiende a cero desde valores positivos), luego sustituyes, y queda:
ln(L) = Lím(w→+∞) (1/w)*sen(1/w),
expresas al argumento del límite en forma fraccionaria, y queda:
ln(L) = Lím(w→+∞) sen(1/w) / w,
luego, resuelves el límite (observa que el numerador está acotado entre -1 y 1, y el denominador tiende a 0), y queda:
ln(L) = 0,
luego, compones con la función inversa del logaritmo natural, y queda:
L = e0 = 1.
Espero haberte ayudado.

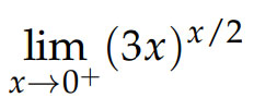
Puedes plantear el logaritmo natural del límite:
ln(L) = ln( Lím(x→0+) (3x)x/2 ),
observa que el logaritmo natural es una función continua, por lo tanto planteas:
ln(L) = Lím(x→0+) ln( (3x)x/2 ),
luego, aplicas la propiedad del logaritmo de una potencia, y queda:
ln(L) = Lím(x→0+) (x/2)*ln(3x),
luego, aplicas la sustitución:
x = 1/w (observa que w tiende a +infinito cuando x tiende a cero desde valores positivos), luego sustituyes, y queda:
ln(L) = Lím(w→+∞) ( 1/(2w) )*ln(3/w),
aplicas la propiedad del logaritmo de una división, y queda:
ln(L) = Lím(w→+∞) ( 1/(2w) )*( ln(3) - ln(w) ),
expresas el argumento del límite como un cociente, y queda:
ln(L) = Lím(w→+∞) ( ln(3) - ln(w) ) / (2w),
aplicas la Regla de L'Hôpital, y queda:
ln(L) = Lím(w→+∞) (0 - 1/w) / 2,
resuelves el argumento, y queda:
ln(L) = Lím(w→+∞) ( -1/(2w) ),
resuelves, y queda:
ln(L) = 0,
compones en ambos miembros con la función inversa del logaritmo, y queda:
L = e0 = 1.
Espero haberte ayudado.