1.Pasar la recta L2 a forma general
2.Aplicar la fórmula de la distancia de un punto a una recta ![]()
En tu caso la forma general es 2x+7y+-88/3
Utilizamos la fórmula:Ι 2·5+7·(-3) -88/3 Ι ÷ √(5)2 +√(-3)2 =6,917 U =Aproximamos a 6,92 U
Pd: No te olvides de poner las unidades al final y estaría bien que te supieses la fórmula de la distancia.
Ya sabes ,practicar y practicar y aprobarás.Nos vemos ,pero no en clase ,cuando sea .
Que te sirva de ayuda.
Me ayudarían con el siguiente problema por favor. Gracias.
6. En una fábrica de bolsas, cada una de las x máquinas que tiene la fábrica produce 50 bolsas
por hora.
Poner en marcha cada máquina le cuesta a la fábrica 80 dólares y una vez funcionando todas
las máquinas, el costo operativo para la fábrica es de 5 dólares la hora.
Si se desean producir 80.000 bolsas en un periodo de tiempo t, ¿Cuál debe ser la cantidad de
máquinas que se deben utilizar, de manera que el costo total sea mínimo?.

Tienes los datos:
x = cantidad de máquinas puestas a funcionar (a determinar),
v = 50 bolsas/hora (velocidad de producción de un máquina),
Ci = 80*x, costo inicial por la puesta en marcha de las máquinas,
Co = 5*t, costo operativo de las máquinas.
Luego, observa que en un tiempo t una máquina produce: v*t = 50*t bolsas, y que todas las máquinas puestas en marcha producen:
50*t*x = 80000 bolsas (1).
Luego, haces pasaje de factores como divisores en la ecuación señalada (1), y queda: t = 80000/(50*x) = 1600/x (2),
luego, sustituyes la expresión señalada (2) en la expresión del costo operativo, y queda: Co = 5*1600/x = 8000/x (3).
Luego, plantea la expresión del costo total:
C = Ci + Co, sustituyes la expresión del costo inicial, y la expresión del costo operativo señalada (3), y queda la expresión de la función:
C(x) = 80*x + 8000/x,
luego, planteas la expresión de la función derivada primera, y queda:
C ' (x) = 80 - 8000/x2 (4),
luego, plantea la expresión de la función derivada segunda:
C ' ' (x) = 16000/x3 (5).
Luego, plantea la condición de punto crítico (posible máximo o posible mínimo):
C ' (x) = 0, sustituyes la expresión señalada (4), y queda:
80 - 8000/x2 = 0, divides por 80 en todos los términos de la ecuación, haces pasaje de término, y queda:
1 = 100/x2, haces pasaje de divisor como factor, y queda:
x2 = 100, haces pasaje de potencia como raíz (observa que elegimos la solución positiva), y queda:
x = 10 máquinas;
luego, reemplazas en la expresión de la función derivada segunda señalada (5), y queda:
C ' ' (10) = 16000/103 = 16 > 0, por lo que tienes que la gráfica de la función es cóncava hacia arriba en el punto crítico,
por lo que tienes que la función alcanza un mínimo;
luego, reemplazas el valor remarcado en la expresión de la función costo total (que también está remarcada), y queda:
C(10) = 80*10 + 8000/10 = 800 + 800 = 1600 dólares, que es el costo mínimo requerido en el enunciado.
Espero haberte ayudado.


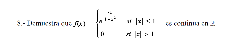
Cada trozo allí mostrado es continuo en su respectivo dominio , lo que queda es analizar en el punto x=1 , para que sea continua en este punto entonces los límites laterales deben ser iguales.
Límite x tiende a 1 por la izquierda de F(x) = Límite x tiende a 1 por la derecha de F(x)
Cuando x tiende a 1 por la izquierda ==> x < 1 , luego usas la primera regla de correspondencia F(x) = e^[ - 1 / (1 - x^2)]
Cuando x tiende a 1 por la derecha ==> x > 1 , luego usas la segunda regla de correspondencia F(x) = 0
Como el segundo límite por la derecha es cero , debes probar que el límite por la izquierda es también cero . Es un límite sencillo queda algo así e^(- infinito) = 0

Me ha faltado , también hay que analizar en x=-1 con los límites laterales , en verdad son 2 puntos
Límite x tiende a -1 por la izquierda de F(x) = Límite x tiende a -1 por la derecha de F(x)
Cuando x tiende a -1 por la izquierda ==> x < -1 , luego usas la segunda regla de correspondencia F(x) = 0
Cuando x tiende a -1 por la derecha ==> x > -1 , luego usas la primera regla de correspondencia F(x) = e^[ - 1 / (1 - x^2)]
Aunque no es suficiente con que los límites laterales sean iguales sino que además este límite (que existe) debe ser igual a la función evaluada en dicho punto , que en este caso F(- 1) = F(1) = 0
Sé que debería poner mi planteamiento de la pregunta, o mi intento frustrado de resolución, pero simplemente no sé cómo proceder, además, claro, de trazar la línea. Porque, de haber tenido un cuadrado, habría sido sencillo... pero con éste cuadrilátero no tengo idea de cómo formar segmentos proporcionales que me permitan usar alguna razón.

Viendo tu figura :
** AB=3 , AD=4 , En el triángulo BAD por Pitágoras DB^2 = 3^2 + 4^2 ==> DB=5 , o simplemente recordar el triángulo rectángulo 3 - 4 -5
** El triángulo BDC es isósceles ya que DB = CD = 5
** DE es altura del triángulo BDC , esta altura es también mediana ya que es isósceles , luego BE = EC = 3
** Te ubicas en el triángulo rectángulo DEB , tienes hipotenusa = DB = 5 , cateto = BE = 3 , entonces el otro cateto que es DE debe ser igual a 4 , esa es la respuesta.
No pongo dibujo porque no que hacer ningún trazo en particular , todos los puntos ya están dados , asumo que DE ya haz trazado en tu resolución y sabes como está ubicado.
Buenas tardes,
Estoy con analisis de datos y me cuesta entender nd y nc ( frecuencia absoluta acumulada por debajo del intervalo critico y frecuencia absoluta del intervalo critico). La pregunta es la siguiente ¿como se buscan en la tabla?
( Me lo podrian poner el video que hable sobre esto)
Muchas Gracias