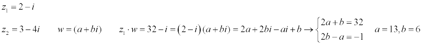
(x2-5x+9) log 2+ log 125 = 3
Hola,
Después de ver los vídeos de diagonalización de matrices he podido hallar el polinomio característico y los valores propios del siguiente ejercicio. Sin embargo, no sé resolverlo llegado a los vectores propios y a la diagonalización de la matriz.
Por favor,¿ me pueden ayudar a resolverlo?
Gracias!
Hola buenas tardes:
tengo este problema, pero estancado como definir las funciones de entrada para los precios y monedas, luego el uso de los multiplexores y cicuiteria lo tengo claro , pero no puedo traducir el enunciado en una expresion logica, si alguien me puede orientar por favor.
gracias
Alberto
Una máquina expendedora de cigarrillos proporciona varias marcas, de precios 100, 200, 300 y 500 pesos. Para comprar un paquete se debe introducir solo una moneda de 100, 200 o 500 pesos. La máquina devuelve solo una moneda en caso de hubiera vuelto. En aquellos casos en que no pueda proporcionar el cambio correcto, la máquina devuelve la moneda introducida y no proporciona el producto. Para desarrollar el circuito de control de esta máquina se pide:
1. Elaborar una tabla que muestre todas las combinaciones posibles para desarrollar este sistema.
2. Elaborar la tabla de verdad correspondiente.
3. Obtener las expresiones mínimas de las funciones mediante el uso de los mapas de Karnaugh
4. Implementar el circuito utilizando multiplexores, demultiplexores y las compuertas lógicas necesarias.
hola! necesito ayuda con los siguientes temas:
Funciones en
, definición, dominio de una función. Curvas de nivel.
Definición de Bola y de norma. Definición de continuidad con
y
. Definición formal de límite.
Continuidad como límite. Propiedades de la continuidad: suma y producto de funciones continuas es continua.
es continua
saludos desde Uruguay_Rivera!!
Hola, me podeis ayudar a calcular el IPREM CORREGIDO?
estas son las condiciones
los datos son: B.I.G 14.100,10€ B.I.A 0 coef. corrector 0,76 siendo un menor de edad y una persona mayor de edad(para el calculo del final de la foto)
muchas gracias!

Calcula a, b , c y d para que se cumpla...
Lo he intentado varias veces pero no consigo dar con la solución, no se si el ejercicio está mal, si yo lo hago mal, agradecería vuestra ayuda!! Gracias![]()

Resuelves el producto de número real por matriz en el segundo miembro, luego sumas elemento a elemento en el primer miembro, luego igualas elemento a elemento, y tienes el sistema de ecuaciones:
- 2 + a+b = 2a
3a + 4 = 2b
d + 5 = 2c
7 + c = 2d, aquí haces pasaje de término, y queda: c = 2d - 7 (1);
luego sustituyes la expresión señalada (1) en las demás ecuaciones (en realidad, solo en la tercera), y queda
- 2 + a+b = 2a
3a + 4 = 2b
d + 5 = 2(2d-7);
distribuyes el segundo miembro y haces pasajes de términos en la tercera ecuación, y el sistema queda:
- 2 + a+b = 2a
3a + 4 = 2b
- 3d = -19, aquí haces pasaje de factor como divisor, y queda: d = 19/3 (2);
luego, haces pasajes de términos en las dos primeras ecuaciones, y queda el sistema:
- a + b = 2, aquí haces pasaje de término, y queda: b = 2 + a (3)
3a - 2b = - 4;
luego, sustituyes la expresión señalada (3) en la última ecuación, y queda:
3a - 2(2+a) = - 4, distribuyes en el primer miembro, reduces términos semejantes, y queda:
- a - 4 = - 4, haces pasaje de término (observa que tienes cancelaciones), y queda:
-a = 0, haces pasaje de factor como divisor, y queda: 0 = a (4);
luego, reemplazas el valor señalado (4) en la ecuación señalada (3), y queda: b = 2;
luego, reemplazas el valor señalado (2) en la ecuación señalada (1), y queda c = 38/3 - 7 = 17/3.
Luego, a modo de verificación, reemplazas los valores remarcados en la ecuación matricial de tu enunciado, y queda la igualdad entre matrices:
-2 0 2 4 0 4 0 2
19/3 7 + 5 17/3 = 34/3 38/3 = 2 * 17/3 19/3;
por lo que tienes que la solución: a = 0, b = 2, c = 17/3, d = 19/3 se verifica como valedera.
Espero haberte ayudado.