Foro de preguntas y respuestas de Matemáticas

logo beUnicoos
Los foros de unicoos se han unificado en nuestra nueva plataforma beUnicoos. Para dejar nuevas preguntas deberás hacerlo allí, donde además podrás encontrar nuevas asignaturas y herramientas para ayudarte más con tus estudios.

  • icon

    Jon Aginaga
    el 16/10/17

    Buenas, ¿cómo se realiza este ejercicio?

    Calcula el valor de "a" para que las siguientes rectas sean paralelas:

    ax+y=12

    4x-3y=a+1

    replythumb_up1 voto/sflag
    icon

    Antonio Silvio Palmitano
    el 16/10/17

    Puedes plantear la relación entre coeficientes de las incógnitas:

    a/4 = 1/(-3).

    luego haces pasaje de divisor como factor, y queda:

    a = -(1/3)*4 = -4/3.

    Luego, puedes reemplazar en el sistema, y tendrás las ecuaciones de las rectas.

    Espero haberte ayudado.



    thumb_up0 voto/sflag
  • icon

    sandra rubio
    el 15/10/17


    replythumb_up0 voto/sflag
    icon

    Antonius Benedictus
    el 15/10/17


    thumb_up0 voto/sflag
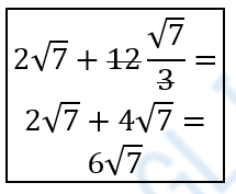
  • icon

    Ingrid
    el 15/10/17

    Me podrían ayudar con este ejercicio. Gracias:


    replythumb_up0 voto/sflag
    icon

    Antonius Benedictus
    el 15/10/17


    thumb_up2 voto/sflag
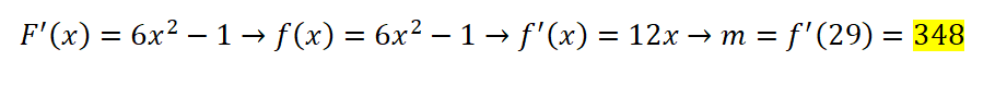
  • icon

    Adrián
    el 15/10/17


    Ayuda con este ejercicio. Muchísimas gracias.

    replythumb_up0 voto/sflag
    icon

    Desencadenado
    el 15/10/17

    Adrián, no sé si es exactamente lo que pide el enunciado, pero el resultado es ese.

    Saludos!!!

    thumb_up0 voto/sflag
    icon

    Desencadenado
    el 15/10/17


    thumb_up0 voto/sflag
  • icon

    Noelia
    el 15/10/17

    Como se harían e), c) y f) ?


    replythumb_up0 voto/sflag
    icon

    Desencadenado
    el 15/10/17


    thumb_up1 voto/sflag
    icon

    Desencadenado
    el 15/10/17


    thumb_up1 voto/sflag
    icon

    Desencadenado
    el 15/10/17


    thumb_up1 voto/sflag
    icon

    Desencadenado
    el 16/10/17

  • icon

    Adrián
    el 15/10/17


    Ayuda con este ejercicio. Muchisimas gracias

    replythumb_up0 voto/sflag
    icon

    Antonius Benedictus
    el 15/10/17


    thumb_up1 voto/sflag
    icon

    Desencadenado
    el 15/10/17


    thumb_up0 voto/sflag
  • icon

    maria
    el 15/10/17

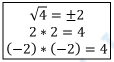
    raiz cuadrada de 4

    replythumb_up0 voto/sflag
    icon

    Desencadenado
    el 15/10/17
    flag

    ????

    Dos (2) o Dos negativo (-2) dependiendo del enunciado del ejercicio

    Saludos!!!


    thumb_up0 voto/sflag
    icon

    Desencadenado
    el 15/10/17


    thumb_up0 voto/sflag
  • icon

    Nicolas Urbina
    el 15/10/17

    Ayudaaa ¿ Que es una función numérica?


    replythumb_up0 voto/sflag
    icon

    Desencadenado
    el 15/10/17

    https://es.wikipedia.org/wiki/Función_matemática

    thumb_up1 voto/sflag
    icon

    Antonius Benedictus
    el 15/10/17

    También llamada "función real de variable real"


    thumb_up2 voto/sflag
  • icon

    Noelia
    el 15/10/17

    Como se harían:

    -7-2 *73*74

    (-50)7*(-2)7/47

    En la última, al ser todos los exponentes iguales, se resolvería como una operación normal?

    replythumb_up0 voto/sflag
    icon

    Desencadenado
    el 15/10/17


    thumb_up1 voto/sflag
    icon

    Desencadenado
    el 15/10/17

    Noelia, la próxima intenta poner foto del enunciado original así es más fácil interpretarlo.

    Saludos!!!

    thumb_up1 voto/sflag
  • icon

    Paula Sánchez
    el 15/10/17

    Hola!! Podrían resolverme este apartado? Gracias!

    replythumb_up0 voto/sflag
    icon

    Antonius Benedictus
    el 15/10/17


    thumb_up0 voto/sflag