"Al tirar tres dados, podemos obtener suma 9 de seis formas distintas: 1,2,6 – 1,3,5 – 1,4,4 – 2,2,5 – 2,3,4 – 3,3,3 y otras seis de
obtener suma 10: 1,3,6 – 1,4,5 – 2,2,6 – 2,3,5 – 2,4,4 – 3,3,4. Sin embargo, la experiencia nos dice que es más fácil obtener suma 10
que suma 9. ¿Por qué?"
Alguien me ayuda en esto porfavor ??
Antonio me a layudado pero no lo llego a entender.

Contemos todas las opciones, como indica el colega Antonio Benito.
Para sacar nueve, tienes los siguientes casos:
126 162 216 261 612 621
135 153 315 351 513 531
144 414 441
225 252 522
234 243 324 342 423 432
333,
total: 25 casos.
Para sacar diez, tienes los siguientes casos:
136 163 316 361 613 631
145 154 415 451 514 541
226 262 622
235 253 325 352 523 532
244 424 442
334 343 433,
total: 27 casos.
Espero haberte ayudado.
Tengo el siguiente problema:
11 amigos se reunen y uno de ellos tiene cromos en su mochila,
-Los cromos vienen en paquetes de 9 unidades.
-Si los repartieran entre todos los amigos, sobraría 1.
-Hay menos de 5 docenas.
Con los dos primeros apartados se me ocurre como operar, pero el de las 5/12... no entiendo que hacer con ese dato.
Gracias.

Puedes llamar c a la cantidad total de cromos.
Luego, con el primer dato, puedes plantear que c es múltiplo de nueve:
c = 9x, donde x es la cantidad de cromos que hay en cada paquete.
Luego, con el segundo dato, puedes plantear que la cantidad de cromos excede en una unidad a un múltiplo de 11:
c = 11*y + 1, donde y es la cantidad de cromos que tiene cada uno de los once amigos, luego de ser repartidos.
Luego, con el tercer dato, puedes plantear que la cantidad total de cromos es menor que cinco docenas (5*12 = 60):
c < 60.
Luego, considera el primero y el tercer dato, y enumera los múltiplos de nueve que son menores que sesenta:
9, 18, 27, 36, 45, 54.
Luego, considera el segundo y el tercer dato, y enumera los números que exceden en una unidad a un múltiplo de once, que son menores que sesenta:
12, 23, 34, 45, 56.
Luego, observa que 45 es el número natural que cumple con las dos condiciones, por lo que tienes:
c = 45 cromos;
45 = 9*5, por lo que tienes cinco paquetes, con nueve cromos en cada paquete;
45 = 11*4 + 1, por lo que cada uno de los once amigos queda al final con cuatro cromos, y sobra uno.
Espero haberte ayudado.
hola podrían ayudarme es que tengo que hallar el dominio de una función pero no se hacerlo
la función es:
f(x)=( √ 𝒙−𝟐/𝒙+𝟐) +(√
𝒙−𝟏/(√𝟏+𝒙))
no se si lo entenderéis bien todo lo que esta dentro de los paréntesis significa que esta dentro de la raíz
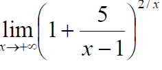
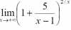
Hola, ayuda con este problema de cauchy por favor?
2y'+y=4t. y(0)=0

¡Hola! Nos encantaría ayudarte, pero no solemos responder dudas universitarias que no tengan que ver específicamente con los vídeos que David Calle ha grabado como excepción. O de otras asignaturas que no sean Matemáticas, Física y Química. Lo sentimos de corazón… Esperamos que lo entiendas.
Ojalá algún unicoo universitario se anime a ayudarte (de hecho, lo ideal es que todos los universitarios intentarais ayudaros los unos a los otros).

Plantea la ecuación diferencial homogénea asociada (observa que cambiamos la variable y por una nueva variable u):
2u ' + u = 0, haces pasaje de término, y queda:
2u ' = - u, expresas a la derivada como cociente entre diferenciales, y queda:
2du/dt = - u, separas variables, haces pasaje del factor numérico como divisor, y queda:
du/u = -(1/2)dt, integras y queda:
lnu = -(1/2)t (observa que omitimos la constante de integración en este paso), luego compones en ambos miembros con la función inversa del logaritmo natural, y queda:
u = e-(1/2)t.
Luego, plantea la expresión de la solución general como el producto de la expresión remarcada por otra expresión a determinar:
y = w*e-(1/2)t (1),
luego plantea la expresión de la función derivada:
y ' = w ' * e-(1/2)t + w * e-(1/2)t * (-1/2) = e-(1/2)t * (w ' - (1/2)w,
luego sustituyes las dos expresiones en la ecuación diferencial del enunciado, y queda:
2( e-(1/2)t * (w ' - (1/2)w ) + w*e-(1/2)t = 4t,
distribuyes el primer término, y queda:
2*e-(1/2)t * w ' - e-(1/2)t * w + w*e-(1/2)t = 4t,
cancelas términos opuestos, y queda:
2*e-(1/2)t * w ' = 4t,
multiplicas en ambos miembros por (1/2)*e(1/2)t, y queda:
w ' = 2t*e(1/2)t,
expresas a la derivada como cociente entre diferenciales, y queda:
dw/dt = 2t*e(1/2)t,
separas variables, y queda:
dw = 2t*e(1/2)t*dt,
integras (observa que en el segundo miembro debes emplear el método de integración por partes), y queda:
w = 8*( (1/2)t - 1 )*e(1/2)t + C (observa que en este paso si consignamos la constante de integración),
distribuyes los dos primeros factores, y queda:
w = (4t - 8)*e(1/2)t + C,
luego, sustituyes en la expresión de la solución general señalada (1) y queda:
y = ( (4t - 8)*e(1/2)t + C )*e-(1/2)t,
luego distribuyes y la expresión de la solución general queda:
y = 4t - 8 + C*e-(1/2)t (2),
luego, reemplaza los valores de la condición inicial que tienes en el enunciado (t = 0, y = 0), y queda:
0 = - 8 + C, haces pasaje de término, y queda:
8 = C,
luego reemplazas en la ecuación señalada (2) y queda:
y = 4t - 8 + 8*e-(1/2)t,
que es la expresión de la solución particular de la ecuación diferencial sujeta a la condición inicial que tienes en el enunciado.
Espero haberte ayudado.
Halle el conjunto de números reales que verifican x2+3|x|−4 < 0.
al hacer la ecuación de segundo grado me sale con números imaginarios como se representaría para hayar el conjunto de números reales???

Observa que tienes dos casos:
1)
Si x > 0, la inecuación queda:
x2 + 3x - 4 < 0, factorizas y queda:
(x + 4)(x-1) < 0, luego, por anulación de un producto tienes dos opciones:
a)
x + 4 > 0 y x - 1 < 0, haces pasajes de términos en ambas inecuaciones, y quedan: x > -4 y x < 1,
que corresponde al intervalo (0,1);
b)
x + 4 < 0 y x - 1 > 0, haces pasajes de términos en ambas inecuaciones, y quedan: x < -4 y x > 1,
que corresponde al intervalo vacío.
2)
Si x < 0, la inecuación queda:
x2 + 3(-x) - 4 < 0, resuelves el signo en el segundo término, y queda:
x2 - 3x - 4 < 0, factorizas y queda:
(x -4)(x+1) < 0, luego, por anulación de un producto tienes dos opciones:
a)
x - 4 > 0 y x + 1 < 0, haces pasajes de términos en ambas inecuaciones, y quedan: x > 4 y x < -1,
que corresponde al intervalo vacío;
b)
x - 4 < 0 y x + 1 > 0, haces pasajes de términos en ambas inecuaciones, y quedan: x < 4 y x > -1,
que corresponde al intervalo (-1,0).
Espero haberte ayudado.
"Al tirar tres dados, podemos obtener suma 9 de seis formas distintas: 1,2,6 – 1,3,5 – 1,4,4 – 2,2,5 – 2,3,4 – 3,3,3 y otras seis de
obtener suma 10: 1,3,6 – 1,4,5 – 2,2,6 – 2,3,5 – 2,4,4 – 3,3,4. Sin embargo, la experiencia nos dice que es más fácil obtener suma 10
que suma 9. ¿Por qué?"
Alguien me ayuda en esto porfavor ??