
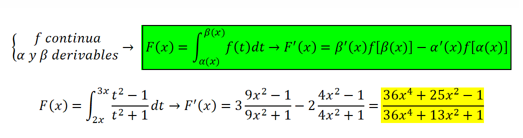
Observa que tanto el numerador como el denominador tienden a cero, por lo que el límite es indeterminado (debes corregir tu observación, porque has consignado que el numerador tiende a 36).
Luego, has factorizado, simplificado y resuelto correctamente el límite.
Espero haberte ayudado.
Hola, en distribución normal por lo que he entendido en sus vídeos, solo se puede usar la tabla si z es menor o IGUAL que un número. Mi profesora no nos ha especificado eso y en el ejercicio 2 que les adjunto hay muchos casos que son solo menor (sin el igual), entonces que tendria que hacer? Lo puedo hacer con las tablas directamente? Además el apartado g) el número que tengo que buscar es el 4, y la tabla solo llega al 3.5. Que se tiene que hacer?
No entiendo nada..
hola pueden ayudarme a saber cual seria el radio menos y cual el mayor ? es que no comprendo bien cual es ya he visto muchos videos pero sigo sin entender gracias

Te piden por un método en particular ? tú quieres aplicar arandelas pero es más conveniente hacerlo por cascarones (o capas) cilíndricos .
Por arandelas hay que hacerlo por partes , ten en cuenta que si el eje de rotación es vertical los radios deben estar en función de "y" tienes que despejar y además identificar quien es quien , por ejemplo
y=x^2 ==> x=√y , x=-√y , son 2 reglas de correspondencias el positivo es para la gráfica a la derecha del eje Y y la negativa a la izquierda del eje Y
Radio mayor = 2 - (-√y) = 2+√y
Radio menor = 2 - √y
Además falta hacer de manera similar con y = 2 - x^2 , se tiene que despejar x en términos de Y como ves se complica el asunto.
Se puede usar en este caso en particular la simetría y del primer resultado multiplicar por 2 y se tiene listo .
En este link pongo lo explicado y por arandelas . http://sketchtoy.com/68358267
Recuerdo que acá es muy sencillo por cascarones cilíndricos ... hay que encontrar la altura y radio del cascarón
No detallo mucho porque la clave está en que respondas a mi pregunta , es un método específico lo que te piden o el más adecuado ?

Tienes la expresión de la función:
U = x3*f(p,q), con:
p = y/x, cuyas derivadas parciales quedan: px = -y/x2, py = 1/x, pz = 0,
q = z/x, cuyas derivadas parciales quedan: qx = -z/x2, qy = 0, qz = 1/x.
Observa que U es función de p y de q, y observa que p y q son funciones de x, de y, y de z.
Luego, plantea las expresiones de las derivadas parciales de la función U (observa que debes aplicar la regla del producto y la regla de la cadena):
Ux = 3x2*f(p,q) + x3*(fp*px + fq*qx) = 3x2*f(p,q) + x3*(-fp*y/x2 - fq*z/x2) = 3x2*f(p,q) - fp*y*x - fq*z*x,
Uy = x3*(fp*py + fq*qy) = x3*(fp*1/x + fq*0) = fp*x2,
Uz = x3*(fp*pz + fq*qz) = x3*(fp*0 + fq*1/x) = fp*x2.
Luego, plantea:
x*Ux + y*Uy + z*Uz =
sustituyes:
= x*(3x2*f(p,q) - fp*y*x - fq*z*x) + y*fp*x2 + z*fp*x2 =
distribuyes el primer término y ordenas factores en todos los términos:
= 3*x3*f(p,q) - x2*y*fp - x2*z*fq + x2*y*fp + x2*z*fq =
cancelas términos opuestos:
= 3*x3*f(p,q) =
sustituyes la expresión de la función U:
= 3*U.
Espero haberte ayudado.
Alguien me puede decir si lo tengo bien, y si no que me diga los errores por favorr

Ordenas términos en la expresión, y queda:
log(E) = 3*log(x+10) + log(3/2) - log( (2x+20)/3 ),
aplicas la propiedad del logaritmo de una potencia en el primer término, y queda:
log(E) = log( (x+10)3 ) + log(3/2) - log( (2x+20)/3 ),
aplicas la propiedad del logaritmo de una multiplicación entre los dos primeros términos, y queda:
log(E) = log( (3/2)*(x+10)3 ) - log( (2x+20)/3 ),
extraes factor común en el argumento del logaritmo en el último término, y queda:
log(E) = log( (3/2)*(x+10)3 ) - log( (2/3)**(x+10) ),
aplicas la propiedad del logaritmo de una división en el segundo miembro, y queda:
log(E) = log( (3/2)*(x+10)3 / ( (2/3)**(x+10) ) ),
resuelves el argumento del logaritmo en el segundo miembro (observa que tienes simplificación), y queda:
log(E) = log( (9/4)*(x+10)2 ),
luego, aplicas antilogaritmos en ambos miembros, y queda:
E = (9/4)*(x+10)2.
Espero haberte ayudado.

Está todo correcto, pero observa que luego de tu segunda línea no es conveniente distribuir, sino que es mucho más conveniente factorizar, a fin de obtener la mínima expresión final:
E = (x+10)3 / ( (2x+20)/3 ) * (3/2),
resuelves la división en el primer factor, y queda:
E = ( (x+10)3/(2x+20)*3*(3/2),
resuelves el producto de los dos últimos factores, ordenas factores, y queda:
E = (9/2)*(x+10)3/(2x+20),
extraes factor común en el denominador, y queda:
E = (9/2)*(x+10)3/( 2*(x+10) ),
resuelves factor y divisor numérico, aplicas la propiedad de la división de potencias con bases iguales, y queda:
E = (9/4)*(x+10)2.
Espero haberte ayudado.
por favor me pueden colaborar con este ejercicio, las variables X y ∝ son las aristas laterales y sus angulos respectivamente

Te ayudo con la expresión de la función área de la sección transversal del canal, que corresponde al mayor flujo de líquido por el canal.
Observa que el caudal máximo corresponde al área máxima de la sección transversal del canal, que es un trapecio isósceles cuyas dimensiones son:
Base Mayor: B = 24 - 2x + 2x*cosα,
Base menor: b = 24 - 2x,
Altura: h = x*senα;
luego, el área de la sección transversal trapezoidal queda expresada:
A = (1/2)* (B + b)*h, sustituyes expresiones, y queda:
A = (1/2)*(24 - 2x + 2x*cosα + 24 - 2x)*x*senα,
reduces términos semejantes en el agrupamiento, y queda:
A = (1/2)*(48 - 4x + 2x*cosα)*x*senα,
distribuyes entre los dos últimos factores, y queda.
A = (1/2)*(48*x*senα - 4x2*senα + 2x2*cosα*senα).
Observa que la expresión corresponde al área de la sección transversal del canal, en función de la longitud de su lado (x), y del ángulo que éste forma con su base menor (α).
Espero haberte ayudado.