Sea x el número de menores de 12 años, y el número de mayores de 65 y z el de personas entre 12 y 65 años,
tenemos, pues han asistido 420 personas al museo x+y+z=420
por otro lado, 70z + 35y + 0x = 22400, pues el la recaudación
y por último:
70 z/2 + 35 2y = 17500
Por lo tanto, tenemos un sistema de tres ecuaciones y tres incógnitas que se resuelve y ya tenemos las respuestas, las cuales son 120 personas mayores de 65 y 40 menores de 12 años
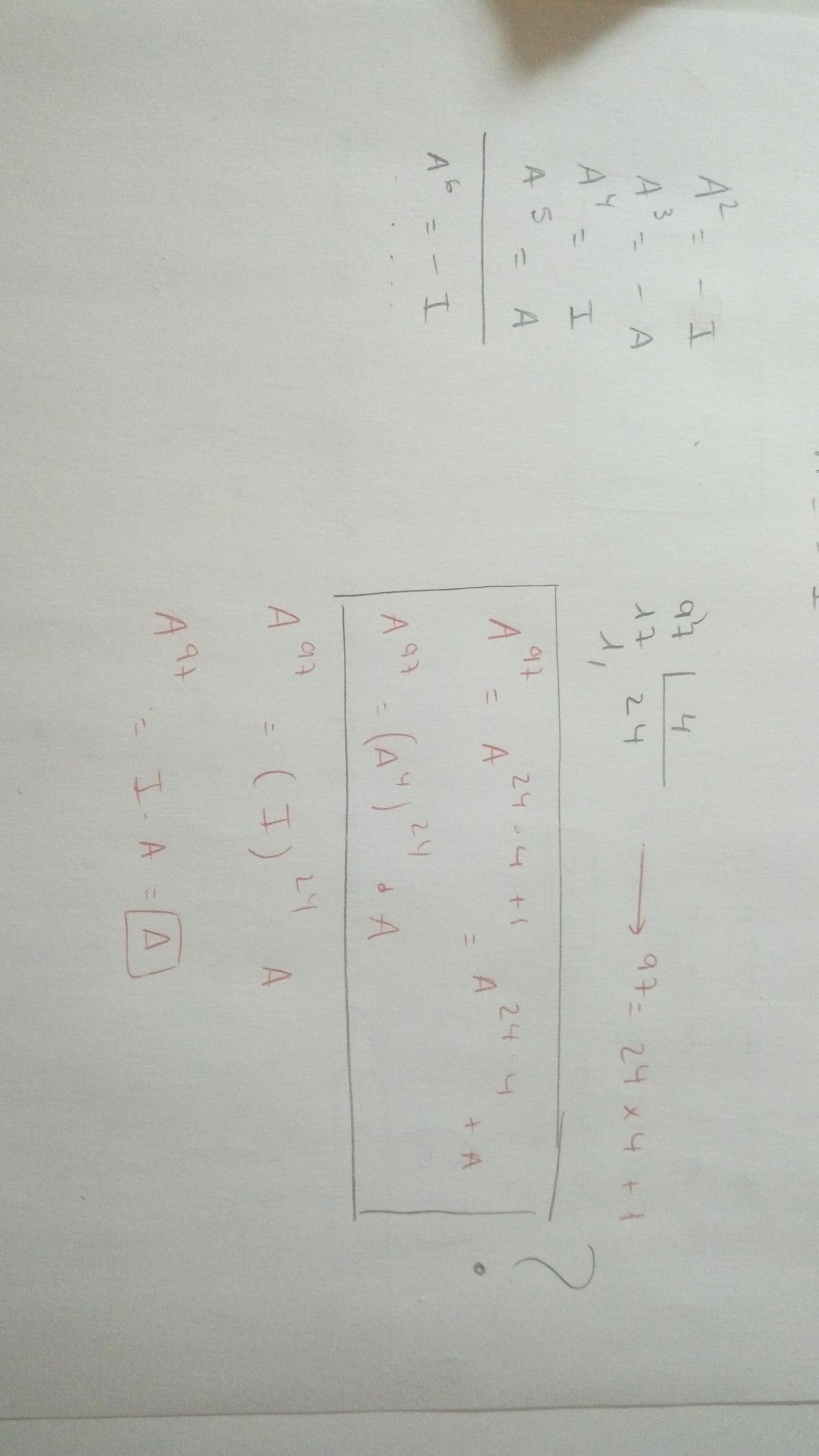
Buenas!!
La parte que está dentro de un cuadro a lápiz y un signo de interrogación no entiendo lo que ha hecho. Podrían explicármelo?
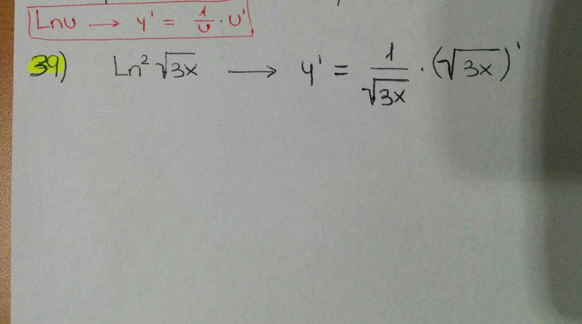
Por qué no puedo resolver factorizando mediante Ruffini la siguiente ecuación.
16xΛ5 -8xΛ3 +x=0
Gracias
ruffini , presupone que haces un tanteo con las soluciones, si estas no son enteras, (que no lo son) no creo que pudieras aplicarlo.
x(16x^4 -8x^2 +1)=0
reslviendo x=0 x=-1/2 x=1/2

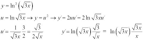
Tienes la ecuación:
16*x5 - 8*x3 + x = 0,
extraes factor común en el primer miembro tal como indica el colega Charles Xavier, y queda
x*(16*x4 - 8*x2 + 1) = 0,
factorizas el trinomio cuadrado perfecto del agrupamiento, y queda:
x*(4*x2 - 1)2 = 0,
luego, por anulación de un producto, tienes dos opciones:
a)
x = 0;
b)
(4*x2 - 1)2 = 0,
haces pasaje de potencia como raíz, y queda:
4*x2 - 1 = 0,
haces pasaje de término, y queda
4*x2 = 1,
haces pasaje de factor como divisor, y queda:
x2 = 1/4,
haces pasaje de potencia como raíz, y tienes dos opciones:
x = -1/2, x = 1/2.
Espero haberte ayudado.
Hola.
Necesito un vídeo-explicación del Teorema de los intervalos encajados de Cantor pues hay algunos pasos que no entiendo a la perfección.
Gracias!!

Me encantaría ayudarte, pero no respondo dudas universitarias que no tengan que ver específicamente con los videos que ya he grabado como excepcion. O de otras asignaturas que no sean matemáticas, física y química. Lo siento de corazón… Espero lo entiendas
Ojalá algun unicoo universitario se anime a ayudarte (de hecho lo ideal es que todos los universitarios intentarais ayudaros los unos a los otros)