
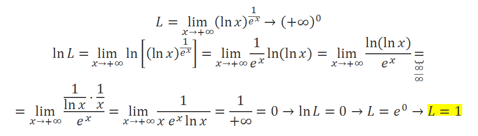
Puedes plantear:
L = Lím(x→+∞) (lnx)1/e^x,
tomas logaritmos naturales en amos miembros, y queda:
ln(L) = ln( Lím(x→+∞) ( (lnx)1/e^x ) ),
aplicas la propiedad del logaritmo del límite (observa que el argumento corresponde a una función continua), y queda:
ln(L) = Lím(x→+∞) ln( (lnx)1/e^x ),
aplicas la propiedad del logaritmo de ua potencia, y queda:
ln(L) = Lím(x→+∞) (1/ex)*ln(lnx),
escribes el argumento del límite como una división, y queda:
ln(L) = Lím(x→+∞) ln(lnx) / ex,
aplicas la Regla de L'Hôpital y queda:
ln(L) = Lím(x→+∞) ( 1/(x*lnx) ) / ex,
resuelves la división en el argumento, y queda:
ln(L) = Lím(x→+∞) 1/(x*lnx*ex),
observa que el numerador es constante y que el denominador tiende a +infinito, por lo que queda:
ln(L) = 0,
compones en ambos miembros cpn la función inversa del logaritmo natural, y queda:
L = e0= 1.
Espero haberte ayudado.
Buenas alguien me puede ayudar a entender este tipo de problemas? Ya sé que no respondéis a dudas universitarias, pero estoy teniendo muchos problemas en entender este tipo de ejercicios de la asignatura Cálculo.
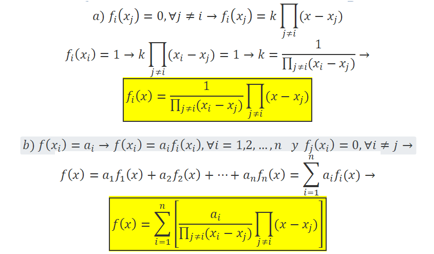
Demostrar algo no siempre es facil, por eso hay tios que se hechan años intentando demostrar algo, aunque siempre hay "pistas".
En tu ejercicio te dan la "pista": el producto ∏(x-xj), desde j=1, hasta n, con j diferente de i. Este producto tiene la forma (x-x1)(x-x2)..(x-xj)..(x-xn). Mientras j sea diferente de i, observa que si x=x1, ó x=x2, ó x=xn va a ser siempre cero, porque siempre va a haber un factor igual a cero.
Observa que dado que j es diferente de i, para x=xi no va a ser cero, pero tampoco nos da 1, como solicita el ejercicio
La funcion (llamaré gi(x) buscada seria de la forma gi(x) = k * ∏(x-xj)
y la k se agrega para mas generalidad. Obviamente esto es un polinomio de grado "n".
Pero ademas sabemos que gi(xí) = 1, por tanto esto seria:
1= gi(xi) = k * ∏(xi-xj)
k = 1/ ∏(xi-xj)
entonces:
gi(x) = ∏ (x-xj)/(xi-xj)
y ya tienes tu funcion que de 1 y 0, donde "xi" seria una constante.
observa que si xj=xi, esto daria una division por cero, lo cual no esta permitido
La segunda parte es mas sobre razonar: si tienes sabes que la funcion gi(x) te va a dar cero para cualquier valor, excepto x=xi, si hacemos corresponder ese xi con "ai", lo podemos hacer: g1(x1)-a1, g2(x2)-a2..... Esto es una funcion:
f(x) = a1 g1(x) + a2 g2(x) + ....+ an gn(x)
f(x) = a1 * ∏ (x-xj)/(x1-xj) + a2 * ∏ (x-xj)/(x2-xj)
Si x=x1, El producto debe dar cero, excepto para el primer producto que debe dar 1, por tanto:
..........n
f(x) = ∑ [ ai * ∏ (x-xj)/(xi-xj) ]
.........i=1

Me encantaría ayudarte, pero no respondo dudas universitarias que no tengan que ver específicamente con los videos que ya he grabado como excepcion. O de otras asignaturas que no sean matemáticas, física y química. Lo siento de corazón… Espero lo entiendas
Ojalá algun unicoo universitario se anime a ayudarte (de hecho lo ideal es que todos los universitarios intentarais ayudaros los unos a los otros)

Me podeis ayudar con este problema?
El lado del cuadrado de la
figura tiene una longitud de 1 cm. Cuánto mide el radio del círculo pequeño?
no me lo solucioneis solo darme la respuesta correcta y como empezar

Considera un sistema cartesiano OXY con origen de coordenadas coincidente con el centro en la circunferencia mayor, cuya ecuación queda:
x2 + y2 = 1, cuyo centro es C(0,0).
Luego, observa que el centro de la circunferencia menor pertenece a la bisectriz del primer cuadrante, por lo que puedes expresarlo en la forma:
c(h,h),
y su ecuación queda planteada:
(x - h)2 + (y - h)2 = r2.
Luego, observa que la distancia entre los centros de las circunferencias es igual a la suma de sus radios,
por lo que puedes plantear:
d(C,c) = 1 + r,
desarrollas el primer miembro, y queda:
√( (h-0)2+(h-0)2 ) = 1 + r,
resuelves el argumento de la raíz cuadrada, y queda:
√(2*h2) = 1 + r,
distribuyes la raíz en el primer miembro (observa que h toma valores positivos), y queda:
√(2)*h = 1 + r,
haces pasaje de término, y queda:
√(2)*h - 1 = r (1).
Luego, observa que la circunferencia menor es tangente a la recta cuya ecuación es y = 1,
y que el punto de contacto tienes coordenadas A(h,1),
luego sustituyes en la ecuación de la circunferencia menor, y queda (observa que debe haber solución única):
(h - h)2 + (1 - h)2 = r2,
cancelas el término nulo, sustituyes la expresión señalada (1), y queda:
(1 - h)2 = (√(2)*h - 1)2,
desarrollas expresiones en ambos miembros, y queda:
1 - 2*h + h2 = 2*h2 - 2*√(2)*h + 1,
haces pasajes de términos (observa que tienes cancelaciones), ordenas términos, y queda:
-h2 - 2*h + 2*√(2)*h = 0,
divides en todos los términos por -h (observa que es distinta de cero), y queda:
h + 2 - 2*√(2) = 0,
haces pasajes de términos, y queda:
h = 2*√(2) - 2;
luego, reemplazas en la ecuación señalada (1), y queda:
r = √(2)*(2*√(2) - 2) - 1,
distribuyes, reduces términos semejantes, y queda:
r = 3 - 2*√(2),
que es una expresión equivalente a la que indicó el colega Rodrigo Iván.
Espero haberte ayudado.

Considero una forma fácil la solución geométrica que planteo en la imagen .
Se compone de 2 partes :
1) La justificación de la colinealidad de los puntos .
2) Cálculos sencillos de la gráfica gracias al punto 1
Si usted ya conoce que esos puntos son colineales o puede probarlo y/o justificarlo de manera inmediata y de forma más sencilla entonces pase directamente al punto 2 que como ve es muy sencillo.
La parte 1 no suele ponerse en las soluciones de este tipo de ejercicios porque se asume que el estudiante ya conoce esta parte o puede probarlo de manera inmediata , entonces se pasa directamente a la parte 2 y si sólo ves esta parte el ejercicio es casi como una broma (en 2 líneas ya está resuelto)
por ejemplo otra manera de probar la colinealidad es :
a) B y O_2 son puntos de la bisectriz del vértice B (que mide 90°)
b) B y O son puntos de la bisectriz del vértice B
Conclusión : B , O y O_2 son colineales
Que "parezca" que los puntos están sobre la misma recta no es justificación matemática alguna.
A más conocimientos tenga más sencillo son los ejercicios , tampoco se pueden reducir los ejercicios de cierto a que se convierta en 1 + 1 , hay que leer , estudiar , practicar el tema en cuestión .
El ejercicio dice : Escribe mediante intervalos los posibles valores de x para que se pueda calcular la raíz en cada caso.
√x-4
√2x+1
√-x
No sé qué hay que hacer, espero una respuesta, muchas gracias
Lo hago me sale indeterminación infinito/infinito, resulevo por L'hopial, me sale 6/Infinito , el limite tiende a +INFINITO, ¿es correcto?
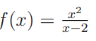
La función es continua en todos los reales menos el 2. En el x=2 hay una discontininuidad asimptotica.
Me gustaria saber si he hecho bien los ejercicios

1)
Lím(x→+∞) x3/ex = aplicas L'H = Lím(x→+∞) 3x2/ex = aplicas L'H = Lím(x→+∞) 6x/ex = aplicas L'H:
= Lím(x→+∞) 6/ex = 0,
porque el numerador es constante y el denominador tiende a +infinito.
2)
Lím(x→2-) x2/(x-2) = -∞,
porque el numerador tiende a cuatro y el denominador tiende a cero desde valores negativos;
Lím(x→2+) x2/(x-2) = +∞,
porque el numerador tiende a cuatro y el denominador tiende a cero desde valores positivos,
por lo que puedes concluir que la gráfica de la función presenta asíntota vertical en x = 2, superior por el lado derecho e inferior por el lado izquierdo.
Espero haberte ayudado.