Hola qué tal , creo que sería bueno si hiciesen algún vídeo explicando el tema de transformaciónes lineales ,me parece muy duro
Buena idea :)
Mientras tanto mírate el bloque de "Álgebra" en este enlace: https://www.unicoos.com/cursos/universidad/matematicas
hola unicoos, agradeceria que me pudiecen ayudar con estos dos problemas:
1.- Hallar el área del mayor triangulo isoceles que tenga un perimetro de 18 metros.
2.-Hallar la ecuación de la recta tangente a la curva:
y=3x al cuadrado Lnx + 4x , en el punto cuya abscisa es 1
Gracias.
Hola,
Alguien me podria ayudar con este dichoso problema, no se como plantearlo.
Una barca se mueve con velocidad constante respecto el agua. Mientras navega rio abajo una botella cae al agua. Al cabo de un tiempo t igual a una hora la barca canvia de sentido. La botella es reencontrada a una distancia d= 1km mas abajo de donde habia caido. Cual es la velocidad del corriente ?
MuchasGracias

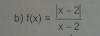
c)
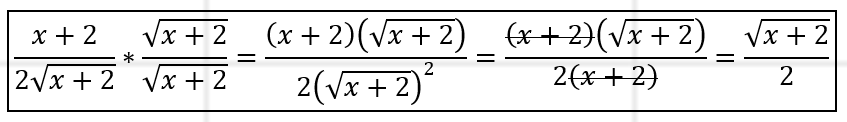
Haces pasaje de raíz cuadrada como potencia, simplificas índice y exponente en el primer miembro, y queda:
2x * √( 4x * √(8x) ) = ( 4√(22x+7) )2, simplificas índice y exponente en el segundo miembro, y queda:
2x * √( 4x * √(8x) ) = 2√(22x+7), haces pasaje de raíz cuadrada como potencia, simplificas índice y exponente en el segundo miembro, y queda:
( 2x * √( 4x * √(8x) ) )2 = 22x+7, distribuyes la potencia entre los factores de su base en el primer miembro, resuelves exponente, y queda:
22x * ( √( 4x * √(8x) ) )2 = 22x+7, simplificas índice y exponente en el segundo factor del primer miembro, y queda:
22x * 4x * √(8x) = 22x+7, aplicas la propiedad del producto de potencias con bases iguales en el segundo miembro, y queda:
22x * 4x * √(8x) = 22x * 27, haces pasaje de factor como divisor, simplificas, y queda:
4x * √(8x) = 27, expresas a las bases de las potencias del primer miembro como potencias de 2, y queda:
(22)x * √( (23)x ) = 27, resuelves exponentes en el primer miembro, y queda:
22x * √(23x) = 27, haces pasaje de factor como divisor, y queda:
√(23x) = 27 / 22x, aplicas la propiedad de la división de potencias con bases iguales en el segundo miembro, y queda:
√(23x) = 27-2x, haces pasaje de raíz como potencia, y queda:
23x = ( 27-2x )2, aplicas la propiedad de la potencia cuya base es otra potencia en el segundo miembro, y queda:
23x = 2(7-2x)*2, luego, por igualdad de potencias con bases iguales, queda:
3x = (7 - 2x)*2, distribuyes en el segundo miembro, y queda:
3x = 14 - 4x, haces pasaje de término, y queda:
7x = 14, haces pasaje de factor como divisor, y queda:
x = 2.
Espero haberte ayudado.
Espero haberte ayudado.