
¡Hola! Nos encantaría ayudarte, pero no solemos responder dudas universitarias que no tengan que ver específicamente con los vídeos que David Calle ha grabado como excepción. O de otras asignaturas que no sean Matemáticas, Física y Química. Lo sentimos de corazón… Esperamos que lo entiendas.
Ojalá algún unicoo universitario se anime a ayudarte (de hecho, lo ideal es que todos los universitarios intentarais ayudaros los unos a los otros).
Buenas tardes; quería preguntarles a alguno de ustedes si sabe algún vídeo en el que se explique como hacer castillos de fracciones de 3º ESo y ejercicios para que pueda practicar. Me vale cualquier página web y/o contenido. Muchas gracias y espero su respuesta
Hola Unicoos. Tengo un problema de algebra. Me piden determinar si la siguiente cuaterna denota un espacio vectoriale.Justificar.
a) (R, + , Q , *)
+ SUMA
* MULTIPLICACIÓN
R REALES
Q RACIONALES
yo me se las propiedades de los espacios vectoriales, pero mi problema es que no se que pasos tengo que hacer para resolver el ejercicio.Saludos.
Hola, como se puede hacer ese limite? Ayer me tomaron examen y llegaba a una expresion donde siempre quedaba indefinido... no se que hice mal.
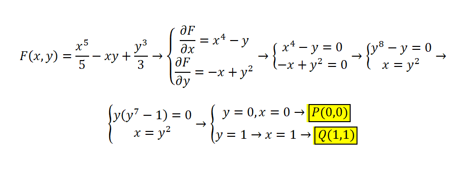
Hola unicoos, una consulta, tengo que hallar los máximos y mínimos relativos de la siguiente función
, luego de realizar las derivadas primeras parciales, me queda el siguiente sistema de ecuaciones
del cual no logro conseguir su solución, por ende cuando procedo a realizar las dervidas segundas parciales, armar el Hessiano, y resolverlo, no tengo los valores que necesito sustituír en la ecuación resultante del Hessiano por no poder resolver el sistema de ecuaciones, muchas gracias.