Hola amigos, tengo una duda con este ejercicio, me pide que sea chico o estudie francés, que sea chico p (v)=10/20 ,que estudie francés p (f)=10/20 , que diga "o" no es p(v)+p (f) ?![]()
P(Sea chica y estudie francés)= (10/20)/2= 10/40 = 1/4 ---------> 5 chicas estudian francés
P(Sea chica y no estudie francés)= 1/4 ---------> 5 chicas no estudian francés
P(Sea chico y estudie francés)= 1/4 ---------> 5 chicos estudian francés
P(Sea chico y estudie francés)= 1/4 ---------> 5 chicos no estudian francés
P(sea chico o estudie francés)= P(sea chico) + P(Sea chica y estudie francés) = (1/4 + 1/4) + 1/4 = 3/4= 0.75 ------------> 15 son chicos o estudian francés

Observa que tienes un sistema de tres ecuaciones lineales, de primer grado y con tres incógnitas.
Luego, plantea la matriz del sistema, cuyos elementos son los coeficientes de las incógnitas:
A =
m -1 1
m 2 4
m -2 3
Luego, plantea el determinante de la matriz del sistema:
det(A) = ( 6m-2m-4m ) - ( 2m-3m-8m ) = 0 + 9m = 9m.
Luego, tienes dos casos:
a)
det(A) ≠ 0, sustituyes y queda:
9m ≠ 0, haces pasaje de factor como divisor, y queda:
m ≠ 0,
por lo que tienes que para valores de m distintos de cero, el sistema tiene solución única;
b)
det(A) = 0, que corresponda a m = 0, reemplazas en el sistema de ecuaciones y queda:
- y + z = 3, de aquí despejas: z = 3 + y (1)
2y + 4z = 3
-2y + 3z = 0,
luego sustituyes la expresión señalada (1) en las dos últimas ecuaciones, y queda:
2y + 4(3+y) = 3
-2y + 3(3+y) = 0,
distribuyes en ambas ecuaciones, reduces términos semejantes, haces pasajes de términos, y queda:
6y = -9, de aquí despejas: y = -3/2 (2)
y = - 9,
sustituyes el valor señalada (2) en la última ecuación, y queda:
-3/2 = -9, que es una identidad absurda, por lo que tienes que el sistema no tienes solución para m = 0.
Luego, para m = 5, el sistema queda:
5x - y + z = 3, de aquí despejas: z = 3 - 5x + y (3)
5x + 2y + 4z = 3
5x - 2y + 3z = 0,
sustituyes la expresión señalada (3) en las otras dos ecuaciones, y queda:
5x + 2y + 4(3-5x+y) = 3
5x - 2y + 3(3-5x+y) = 0,
distribuyes en ambas ecuaciones, reduces términos semejantes, haces pasajes de términos, y queda:
-15x + 6y = -9
-10x + y = -9, de aquí despejas: y = -9 + 10x (4),
sustituyes la expresión señalada (4) en la primera ecuación, y queda:
-15x + 6(-9+10x) = -9, distribuyes, reduces términos semejantes, haces pasaje de término, y queda:
45x = 45, haces pasaje de factor como divisor, y queda: x = 1;
luego, reemplazas el valor remarcado en la ecuación señalada (4), resuelves, y queda: y = 1;
luego, reemplazas los valores remarcados en la ecuación señalada (3), resuelves, y queda: z = -1.
Espero haberte ayudado.
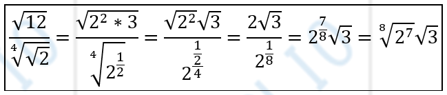
Hola unicoos,necesito ayuda con un pequeño ejercicio de radicales;este sería: raíz cuadrada de 12 ÷ raíz cuarta de la raíz cuadrada de 2,llego al punto en el que me queda raíz de 12 ÷ raíz octava de 2 que es lo siguiente que debo hacer???Gracias.

hola, te dejo un link con la solucion, espero la entiendas, te va mostrando los pasos que debes seguir https://es.symbolab.com/solver/algebra-calculator/%5Cleft(%5Csqrt%7B12%7D%5Cright)%5Cdiv%5Cleft(%5Csqrt%5B4%5D%7B%5Csqrt%7B2%7D%7D%5Cright)
Saludos
Buenas tardes