Si en un examen de tipo test se eligen 20 preguntas al azar de un temario de 100
posibles preguntas, indicar cuantos modelos de exámenes distintos pueden elaborarse.
En el caso de ser obligatorio contestar a todas, y si cada pregunta tiene dos alternativas
para elegir, hallar la probabilidad de contestar correctamente a 10 preguntas; al menos a
10 y a lo sumo a 10, suponiendo que el alumno conoce el 80%
de la materia.

Son combinaciones sin repeticion de 100 elementos tomados de 20 en en 20.. Combinaciones
A partir de ahí, se trata de que DESPUES DE IR A CLASE (ver los vídeos
relacionados con vuestras dudas) enviéis dudas concretas, muy concretas. Y que
nos enviéis también todo aquello que hayais conseguido hacer por vosotros
mismos. Paso a paso, esté bien o mal. No solo el enunciado. De esa manera
podremos saber vuestro nivel, en que podemos ayudaros, cuales son vuestros
fallos.... Y el trabajo duro será el vuestro. Nos cuentas ¿ok? #nosvemosenclase
;-)
Si lanzamos una moneda 3 veces, cual es la probabilidad de sacar a lo sumo una cara por primera vez en el lanzamiento segundo.
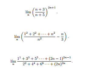
¿En los límites en los que se omite la tendencia de n se presupone que tiende a +infinito?
Por ejemplo:
una ayuda porfavor
Hallar el producto cruz y la magnitud del producto cruz de los siguientes vectores
A<1-cos(x) ; sen(x) ; 2cos(x/2)>
B<sen(x) ; xos(x) ; -sen(x/2)>

Comienza con la sumatoria:
∑(i=1,n) (2*i3/n4) = extraes el factor y el divisor que no dependen del índice (i), y queda:
= 2*(1/n4)*∑(i=1,n) (i3) = resuelves la sumatoria (revisa tus apuntes de clase), y queda:
= 2*(1/n4)*(1/4)*n2*(n+1)2 = simplificas factores y divisores, y queda:
= (1/2)*(1/n2)*(n+1)2 = asocias las potencias entre los dos últimos factores, y queda:
= (1/2)*( (1/n)*(n+1) )2 = distribuyes en el argumento de la potencia, y queda;
= (1/2)*(1+1/n)2 (1).
Luego, plantea el límite de tu enunciado:
Lím(n→∞) ∑(i=1,n) (2*i3/n4) = sustituyes la expresión remarcada anterior y señalada (1), y queda:
= Lím(n→∞) ( (1/2)*(1+1/n)2 ) = extraes el factor constante, y queda:
= (1/2)*Lím(n→∞) ( (1+1/n)2 ) = resuelves, y queda:
= (1/2)*(1+0)2 = (1/2)*12 = (1/2)*1 = 1/2.
Espero haberte ayudado.