
a)
Observa que la función es discontinua en x = 1, que no pertenece al intervalo, por lo tanto tienes que es continua en el mismo. Luego, evalúas en los extremos del intervalo, y tienes: f(2) = 5 y f(4) = 5/3, y observa que el valor k = 4 está comprendido entre estos dos valores.
Luego, aplicas el Teorema, y planteas:
f(c) = k, sustituyes y queda:
5/(c-1) = 4, haces pasaje de divisor como factor, y queda:
5 = 4*(c - 1), distribuyes y queda:
5 = 4*c - 4, haces pasajes de términos, y queda:
- 4*c = - 9, haces pasaje de factor como divisor, y queda:
c = 9/4 = 2,25, que pertenece al intervalo cerrado [2,4].
b)
Observa que la función es continua en el conjunto de los números reales, por lo que también lo es en el intervalo [0,5]. Luego, evalúas en los extremos del intervalo, y tienes: f(0) = -1 y f(5) = 29, y observa que el valor k = f(c) = 11 está comprendido entre estos dos valores.
Luego, aplicas el Teorema, y planteas:
f(c) = k, sustituyes y queda:
c2 + c - 1 = 11, haces pasaje de término, y queda:
c2 + c - 12 = 0, que es una ecuación polinómica cuadrática, cuyas soluciones son:
1)
c = - 4, que no pertenece al intervalo cerrado [0,5];
2)
c = 3, que si pertenece al intervalo cerrado [0,5].
c)
Observa que la función es continua en el conjunto de los números reales, por lo que también lo es en el intervalo [0,3]. Luego, evalúas en los extremos del intervalo, y tienes: f(0) = -2 y f(3) = 19, y observa que el valor k = f(c) = 4 está comprendido entre estos dos valores.
Luego, aplicas el Teorema, y planteas:
f(c) = k, sustituyes y queda:
c3 - c2 + c - 2 = 4, haces pasaje de término, y queda:
c3 - c2 + c - 6 = 0, que es una ecuación polinómica cúbica,
luego, factorizas con la Regla de Ruffini (te dejo la tarea), y la ecuación queda:
(c - 2)*(c2 + c + 3) = 0, luego, por anulación de un producto, tienes dos opciones:
1)
c - 2 = 0, haces pasaje de término y queda:
c = 2, que si pertenece al intervalo cerrado [0,3];
2)
c2 + c + 3 = 0, que es una ecuación polinómica cuadrática que no tiene soluciones reales.
Espero haberte ayudado.
Buenas tardes. Me he atascado en el tercer apartado de un problema que dice así: Con la palabra DECIMAL, si las ordenamos alfabéticamente, ¿cuál sería la posición dela palabra LEMA?
Gracias de antemano.

Por favor, envía el enunciado completo para que podamos ayudarte.
Por ejemplo, si se trata de "con las palabras de cuatro letras distintas que se pueden formar con las letras de la palabra DECIMAL, indicar cuál es la posición de la palabra LEMA en el orden alfabético de todas las palabras formadas".
1°)
Observa que la palabra DECIMAL tiene siete letras distintas.
2°)
Observa que las palabras que se encuentran antes de LEMA y que no empiezan con L son las palabras que empiezan con:
D, E, C, I, A; por lo tanto tienes 5 posibilidades para elegir la primera letra, seis posibilidades para elegir la segunda letra, cinco para elegir la tercera y cuatro para elegir la cuarta, por lo que tienes en total:
N2 = 5*6*5*4 = 600 palabras antes de LEMA que no empiezan con L.
3°)
Observa que las palabras que se encuentran antes de LEMA y que si empiezan con L las puede dividir en dos grupos:
a)
su segunda letra no es E, por lo que puedes elegir: D, C, A, por lo que tienes tres opciones para elegir la segunda letra,
y luego tienes cinco opciones para elegir la tercera letra, y cuatro para la cuarta, por lo que tienes en total:
N3a = 1*3*5*4 = 60 palabras antes de LEMA, cuya primera letra es L y su segunda letra no es E;
b)
su segunda letra si es E pero la tercera no es M, por lo que tienes una opción para elegir la segunda letra,
y luego tienes cuatro opciones para elegir la tercera letra (observa que no puedes elegir la letra M), y cuatro para la cuarta, por lo que tienes en total:
N3b = 1*1*4*4 = 16 palabras antes de LEMA, cuya primera letra es L, su segunda letra es E y su tercera letra no es M.
Luego, la cantidad total de palabras que se encuentran antes de LEMA en el orden alfabético es:
N = N2 + N3a + N3b = 600 + 60 + 16 = 676 palabras.
Luego, puedes concluir que la palabra LEMA ocupa el 677° lugar en el orden alfabético.
Espero haberte ayudado.
resolver las 3 afirmaciones booleanas considerando A= 0 B= A' C= A + B i D = 1
1. (A * C)' + D * (C+D*A)
2. C*C+A*B*D'+D*B
3.(A+B+C')' * (D + C' + B)'
hola ayuda con este problema de cauchy por favor es que no me sale.
y'=(y+3)/t-4 y(9)=2
y'=y^4*t^2 y(0)=1/2

¡Hola! Nos encantaría ayudarte, pero no solemos responder dudas universitarias que no tengan que ver específicamente con los vídeos que David Calle ha grabado como excepción. O de otras asignaturas que no sean Matemáticas, Física y Química. Lo sentimos de corazón… Esperamos que lo entiendas.
Ojalá algún unicoo universitario se anime a ayudarte (de hecho, lo ideal es que todos los universitarios intentarais ayudaros los unos a los otros).

1)
y ' = (y+3)/(t-4), escribes la derivada como cociente diferenciales, y queda:
dy/dt = (y+3)/(t-4), haces pasajes de factor y de divisor a fin de separar variables, y queda:
dy/(y+3) = dt/(t-4), integras, y queda:
ln|y+3| = ln|t-4| + C, que es una solución general implícita de la ecuación diferencial.
Luego, reemplazas valores de la condición inicial (t = 9, y = 2), y queda:
ln|5| = ln|5| + C, resuelves los valores absolutos, haces pasaje de término, y queda:
ln(5) - ln(5) = C, reduces términos semejantes, y queda:
0 = C;
luego reemplazas en la expresión de la solución general, y queda:
ln|y+3| = ln|t-4| + 0, cancelas el término nulo, y queda:
ln|y+3| = ln|t-4|,
que es la solución particular implícita de la ecuación diferencial con la condición inicial del enunciado.
2)
y ' = y4*t2, escribes la derivada como cociente diferenciales, y queda:
dy/dt = y4*t2, haces pasajes de factor y de divisor a fin de separar variables, y queda:
dy/y4 = t2*dt, integras, y queda:
- (1/3)*y-3 = (1/3)*t3 + C, que es una solución general implícita de la ecuación diferencial.
Luego, reemplazas valores de la condición inicial (t = 0, y = 1/2), y queda:
- (1/3)*(1/2)-3 = (1/3)*03 + C, resuelves términos, y queda:
-8/3 = 0 + C, cancelas tel término nulo, y queda:
-8/3 = C;
luego reemplazas en la expresión de la solución general, y queda:
- (1/3)*y-3 = (1/3)*t3 - 8/3,
que es la solución particular implícita de la ecuación diferencial con la condición inicial del enunciado.
Espero haberte ayudado.
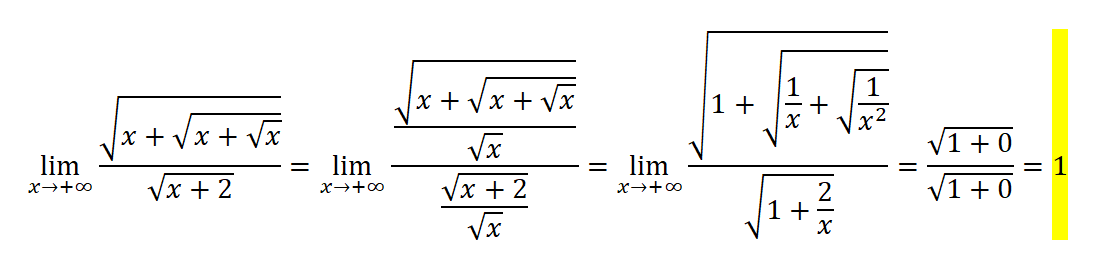
lim(x→0) sen(2x2) ÷ x = sen0 ÷ 0 = 0/0= indeterminación
lim(x→0) sen(2x2) ÷ x =
lim(x→0) [sen(2x2)]´ ÷ (x)´ =
Nel, cuidado al aplicar L´Hopital: se derivan el numerador y denominador por separado, la derivada de sen(2x2) es cos(2x2)*4x y NO cos(x)*4x)
lim(x→0) [cos(2x2)*4x] ÷ 1 =
lim(x→0) [cos(2x2)*4x]=
cos(2*02)*(4*0)=
(cos0)*0=
1*0=
0

¡Hola! Nos encantaría ayudarte, pero no solemos responder dudas universitarias que no tengan que ver específicamente con los vídeos que David Calle ha grabado como excepción. O de otras asignaturas que no sean Matemáticas, Física y Química. Lo sentimos de corazón… Esperamos que lo entiendas.
Ojalá algún unicoo universitario se anime a ayudarte (de hecho, lo ideal es que todos los universitarios intentarais ayudaros los unos a los otros).

51)
Ordenas términos, agrupas términos, haces pasaje de término, y queda:
(x2 - 18x) - (y2 - 16y) - (z2 + 4z) = 3,
sumas 81 en el primer agrupamiento, sumas 64 en el segundo agrupamiento, sumas 4 en el tercer agrupamiento, compensas en el segundo miembro, y queda:
(x2 - 18x + 81) - (y2 - 16y + 64) - (z2 + 4z + 4) = 3 + (81) - (64) - (4),
factorizas los trinomios cuadrados perfectos en los agrupamientos del primer miembro, resuelves el segundo miembro, y queda:
(x - 9)2 - (y - 8)2 - (z + 2)2 = 16,
divides en todos los términos de la ecuación por 16, y queda:
(x - 9)2/16 - (y - 8)2/16 - (z + 2)2/16 = 1,
y tienes que el centro del hiperboloide circular de dos mantos con eje paralelo al eje OX tiene:
centro C(9,8,-2),
semieje real (observa el denominador de la incógnita x) : a = √(16) = 4,
semieje imaginario (observa los denominadores de las incógnitas z e y): b = √(16) = 4,
luego, plantea la relación entre semiejes para los hiperboloides circulares:
c = √(a2 + b2) = √(16 + 16) = √(32), que es el semieje focal,
luego, sumas y restas este valor en la abscisa del vértice y tienes los focos: F1(9-√(32),8,-2) y F2(9-√(32),8,-2).
Espero haberte ayudado.

Comienza por plantear un sistema con las ecuaciones cartesianas paramétricas de la curva y la ecuación de la recta:
x = t4 + 2t2 + 1 (1)
y = 1- 4t - t4 (2)
x + y = 0;
luego sustituyes las expresiones señaladas (1) (2) en la tercera ecuación, y queda:
t4 + 2t2 + 1 + 1- 4t - t4 = 0,
cancelas términos opuestos, reduces términos semejantes, ordenas términos, y queda.
2t2 - 4t + 2 = 0,
divides en todos los términos de la ecuación pro 2, y queda:
t2 - 2t + 1 = 0,
que es una ecuación polinómica cuadrática cuya únicas solución es: t = 1.
luego reemplazas en las ecuaciones señaladas (1) (2), y quedan:
x = 4,
y = -4,
por lo que tienes que el punto de intersección entre la curva y la recta es: A(4,-4).
Luego, evalúa la función vectorial de posición para el valor del parámetro, y queda:
r(1) = < 4 , -4 >, que es el radio vector correspondiente al punto de intersección, cuyo módulo es: |r(1)| = √(32) = 4*√(2).
Luego, derivas y tienes la expresión de la función velocidad:
v(t) = r ' (t) = < 4t3+4t , -4-4t3 >.
Luego, derivas nuevamente y tienes la expresión de la función aceleración:
a(t) = r ' ' (t) = < 12t2+4 , -12t2 >,
luego, evalúa la función vectorial de posición para el valor del parámetro, y queda:
a(1) = < 16 , -12 >, que es la aceleración correspondiente al punto de intersección, cuyo módulo es: |a(1)| = √(400) = 20.
Luego, plantea la expresión del producto escalar entre el radio vector y la aceleración en el punto de intersección:
r(1)•a(1) = < 4 , -4 > • < 16 , -12 > = desarrollas = 4*16 + (-4)*(-12) = 64 + 48 = 112 (3);
luego, plantea la expresión del producto escalar anterior, en función de los módulos de los vectores y del ángulo determinado por ellos:
r(1)•a(1) = |r(1)|*|a(1)|*cosθ = 4*√(2)*20*cosθ = 80*√(2)*cosθ (4);
luego igualas la expresión señalada (4) con el valor señalado (3), y queda:
80*√(2)*cosθ = 112,
multiplicas en ambos miembros por √(2), y queda:
160*cosθ = 112*√(2),
haces pasaje de factor como divisor, y queda:
cosθ = 7*√(2)/10,
compones en ambos miembros con la función inversa del coseno, y queda:
θ = arccos(7*√(2)/10).
Espero haberte ayudado.