efectua estas operaciones con radicales
√3(3√2+(2√2)/5)
(√9√16)3•√10
∛2•((∛48/6√12)+(6√3/3)
me podríais ayudar

Aquí tienes más ejercicios resueltos de producto y división de radicales semejantes y no semejantes: https://www.leccionesdemates.com/blog/producto-y-division-de-radicales-ejercicios-resueltos/ Espero que te sirvan.
Jeeeeelou. Tengo una duda y no se si me voy a explicar bien. En los limites que tienden a infinito, se puede utilizar lo del grado de las X, es decir, simplificar? Graaaacias.
Hola Unicoos, he hallado las raíces para ver dónde cambia de signo la función, pero el {-1/3} sí entraría dentro del dominio verdad? Lo único que invalida la función es {-4} por lo que el D(f)=R-{-4}
Hola Unicoos,
Si tengo una fracción, para halar su dominio así: (1/Ι x -1Ι ) tendré que igualar el denominador a cero Ιx-1Ι =0 pero ahí es donde me hago un lío con el valor absoluto porque no sé si las soluciones son x=1 y x=-1 ó solo tiene una solución x=1
Me lo podría aclarar. Muchas gracias.
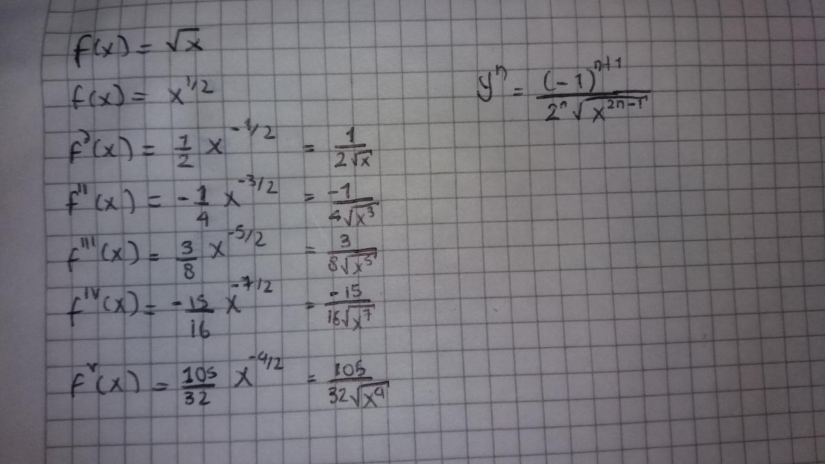
Como hago para sacar la derivada enesima de raiz de x
En la foto se muestra desde la primera derivada hasta la quinta derivada para mirar el comportamiento que tiene; la formula de alado es lo que he planteado.. ahi solo me falta el comportamiento de 1, -1, 3, -15, 105 .
Buenas, me encuentro con un problema al querer resolver la derivabilidad de una funcion a trozos en x=2 aplicando limites laterales por definicion
Mi funcion es ƒ(x) x²+1 si x>=2
(5/2)x si x<2
el problema lo encuentro al hacer el limite lateral por definicion. Ya asumo que la funcion es continua en x=2

Plantea las derivadas laterales para el punto de corte x0 = 2, para el que la función es continua y toma el valor f(2) = 5:
1)
f+' (2) = Lím(h→0+) ( f(2+h) - f(2) )/h = sustituyes, y queda:
= Lím(h→0+) ( (2+h)2+1 - 5 )/h = desarrollas el numerador, y queda:
= Lím(h→0+) (4 + 4*h + h2 + 1 - 5)/h = reduces términos en el numerador (observa que tienes cancelaciones), y queda:
= Lím(h→0+) (4*h + h2)/h = extraes factor común en el numerador, y queda:
= Lím(h→0+) h*(4 + h)/h = simplificas, y queda:
= Lím(h→0+) (4 + h) = evalúas = 4;
2)
f-' (2) = Lím(h→0-) ( f(2+h) - f(2) )/h = sustituyes, y queda:
= Lím(h→0+) ( (5/2)*(2+h) - 5 )/h = desarrollas el numerador, y queda:
= Lím(h→0+) (5 + (5/2)*h - 5)/h = reduces términos en el numerador (observa que tienes cancelaciones), y queda:
= Lím(h→0+) ( (5/2)*h )/h = simplificas, y queda:
= Lím(h→0+) (5/2) = evalúas = 5/2;
luego, como las derivadas laterales no coinciden,
tienes que la función derivada no está definida en x0 = 2.
Espero haberte ayudado.
hola , tengo una duda sobre extremos absolutos, como los encuentro cuando mi dominio no es un intervalo?

Tienes que valorar la función en los puntos críticos (puntos singulares, donde la derivada vale 0, puntos en los que no existe, puntos de tangente vertical y angulosos, y puntos donde, existiendo la función, no es continua). Luego, estudiar el comportamiento de la función en los infinitos y en las asíntotas verticales (si las hubiere). Y con toda esa información, razonar si existen extremos absolutos y cuánto valen.