Hola Unicoos!
La verdad es que yo soy nueva por aquí,y quizá la pregunta no tenga mucho que ver pero...he estado viendo algún video de matrices y no he visto un ejercicio parecido a este ni aquí ni en todo google,¿sabría alguien decirme como se resuelve este ejercicio?El caso es que no entiendo como restar un numero a una matriz.
Sea la matriz: A=(2 1)
3 2
Calcula (A-21)^2
Gracias y un saludo!

Observa bien en tu enunciado, porque es muy probable que en tu ejercicio te pidan "la resta entre la matriz A y el doble de la matriz Identidad, todo elevado al cuadrado".
Si es así, recuerda que la matriz identidad de orden dos es:
I =
1 0
0 1;
luego, el doble de la matriz identidad queda:
2*I =
2 0
0 2;
luego, la resta entre la matriz A y el doble de la matriz identidad queda:
A - 2*I =
2-2 1-0
3-0 2-2,
resuelves en cada elemento, y queda:
A - 2*I =
0 1
3 0;
luego, plantea el cuadrado de la matriz anterior:
(A - 2*I)2 =
0 1 0 1
3 0 * 3 0,
efectúas el producto y queda:
(A - 2*I)2 =
0+3 0+0
0+0 3+0,
resuelves elementos y queda:
(A - 2*I)2 =
3 0
0 3.
Espero haberte ayudado.
simplificar a + b' + (a*b)' = ?
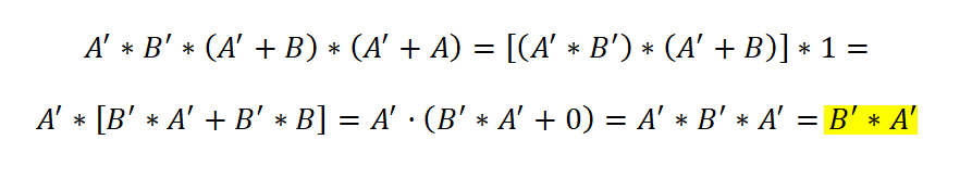
como simplificar esta expresion booleana : A' * B' * (A' + B) * (A' + A) ??? es que según que distributiva hagas te da o A' o B'*A'
Buenas unicoos, ¿me podrían ayudar con este ejercicio?
Una mujer empieza a caminar hacia el norte a una velocidad de 1,2 m/s desde un punto P. Pasados 5 minutos un hombre, ubicado en un punto Q a 150 metros al oriente de P, empieza a caminar hacia el sur a una velocidad de 1,5 m/s. Encuentre la velocidad a la que crece la distancia entre las 2 personas 15 minutos después de que el hombre empiece a caminar.

¡Hola! Nos encantaría ayudarte, pero no solemos responder dudas universitarias que no tengan que ver específicamente con los vídeos que David Calle ha grabado como excepción. O de otras asignaturas que no sean Matemáticas, Física y Química. Lo sentimos de corazón… Esperamos que lo entiendas.
Ojalá algún unicoo universitario se anime a ayudarte (de hecho, lo ideal es que todos los universitarios intentarais ayudaros los unos a los otros).

Establece un sistema de referencia cartesiano con origen en el punto de partida de la mujer, con eje OX en la dirección Oeste-Este, con sentido positivo hacia el Este, y eje OY en la dirección Sur-Norte, con sentido positivo hacia el Norte.
Luego, tienes para la Mujer:
Instante inicial: ti = 0,
Posición inicial: ri = < 0 , 0 >,
Velocidad: v = < 0 , 1,2 >;
luego, planteas la ecuación vectorial de posición de Movimiento Rectilíneo Uniforme, y queda:
rM = ri + v*(t - ti), sustituyes y queda:
rM = < 0 , 0 > + < 0 , 1,2 >*(t - 0), cancelas términos vectoriales y escalares nulos, y queda:
rM = < 0 , 1,2 >*t, resuelves el producto en el segundo miembro, y queda:
rM = < 0 , 1,2*t >.
Luego, tienes para el Hombre
Instante inicial: ti = 5 min = 5*60 = 300 s,
Posición inicial: ri = < 150 , 0 >,
Velocidad: v = < 0 , -1,5 >;
luego, planteas la ecuación vectorial de posición de Movimiento Rectilíneo Uniforme, y queda:
rH = ri + v*(t - ti), sustituyes y queda:
rH = < 150 , 0 > + < 0 , 1,5 >*(t - 300), resuelves el producto en el último término, y queda:
rH = < 150 , 0 > + < 0 , 1,5*(t - 300) >, resuelves la segunda componente en el último término, y queda:
rH = < 150 , 0 > + < 0 , 1,5*t - 450 >, resuelves la suma vectorial y queda
rH = < 150 , 1,5*t - 450 >.
Luego, plantea la posición relativa del Hombre con respecto a la Mujer:
rH - rM = < 150 , 1,5*t - 450 > - < 0 , 1,2*t >, planteas la resta vectorial, y queda:
rH - rM = < 150 , 1,5*t - 450 - 1,2*t >, reduces términos semejantes en la segunda componente, y queda:
rH - rM = < 150 , 0,3*t - 450 >.
Luego, plantea el instante en estudio:
t = 5 min + 15 min = 300 s + 900 s = 1200 s;
luego, evalúa la posición relativa del Hombre con respecto a la Mujer en dicho instante:
rH - rM = < 150 , 0,3*1200 - 450 >, resuelves la segunda componente, y queda:
rH - rM = < 150 , -90 >.
Luego, plantea para la distancia entre el Hombre y la Mujer en el instante en estudio:
DHM = |rH - rM|, sustituyes en el argumento del módulo en el segundo miembro, y queda:
DHM = |< 150 , -90 >|, planteas la expresión del módulo del vector, y queda:
DHM = √( (150)2 + (-90)2 ) = √(22500 + 8100) = √(30600) m ≅ 174,929 m,
que es la distancia que separa al Hombre de la Mujer en el instante en estudio.
Espero haberte ayudado.
Hola Unicoos! les quería pedir un gran favor, soy alumna del segundo año del profesorado de matemáticas acá en Buenos Aires y para las prácticas docentes nos pidieron hacer una actividad creativa sobre el Teorema de Thales, algo relacionado con la vida cotidiana y la verdad no se me ocurre nada para presentar,por ejemplo un compañero va a representar como Thales midió la pirámide de Keops con la proyección de la sombra ..me podrían ayudar con una idea? desde ya muchas gracias, besos
Las aplicaciones del teorema de Tales son muchas y muy importantes:
la división de un segmento en partes proporcionales -------------> En una explotación minera, hay 3 inversores y han puesto distinta cantidad de dinero. Obtienen una criba de oro y la dividen proporcionalmente en medida a lo invertido
la división de un segmento en partes iguales -----------------> Al realizar un reparto equitativo de terreno de una herencia familiar entre hermanos
la segmentación áurea --------------------------> http://www.xavirocasancho.com/la-proporcion-aurea-en-publicidad/
la semejanza y el estudio de las escalas. -------------> Para comparar elementos de mapas a distinta escala (convertir distintas escalas a iguales)
El más interesante (y el que más nota puede aportarte) es el de la aplicación de la segmentación áurea en la publicidad, estética facial, etc, , pero también es el más complicado (sobretodo matemáticamente) de justificar...no sé si tendrás que hacerlo. Los demás son sencillos: http://www.wikillerato.org/Aplicaciones_del_teorema_de_Tales.html
Hola, buenas tardes.
Hoy he dado la "Exponenciación de dos conjuntos" , pero no lo llego a entender. ¿Alguien me podría dar algún ejemplo, gracias?
¿Te refieres al producto cartesiano?
https://es.wikipedia.org/wiki/Producto_cartesiano
Manda un ejemplo para que podamos ayudarte.

¡Hola! Nos encantaría ayudarte, pero no solemos responder dudas universitarias que no tengan que ver específicamente con los vídeos que David Calle ha grabado como excepción. O de otras asignaturas que no sean Matemáticas, Física y Química. Lo sentimos de corazón… Esperamos que lo entiendas.
Ojalá algún unicoo universitario se anime a ayudarte (de hecho, lo ideal es que todos los universitarios intentarais ayudaros los unos a los otros).
Hola, necesito ayuda para hacer este ejercicio:
¿CUANTO HA DE VALER X PARA QUE EL VECTOR (7,2,X) SEA PARALELO A (5,-1,2)?
Seguro que es muy facil pero no se sacarlo...😥

Tienes la matriz cuadrada de tres filas y tres conlumnas:
A =
1 2 a
1 1 a
a 0 1
Luego, planteas su deteminante (te dejo la tarea) y queda:
det(A) = (1 + 0 + 2*a2) - (a2 + 2 + 0) = 1 + 2*a2 - a2 - 2 = a2 - 1 = (a + 1)*(a - 1).
Luego, tienes dos opciones:
1)
Si det(A) ≠ 0, entonces el rango de la matriz es 3, que corresponde a a ≠ -1 y a ≠ 1.
2)
Si det(A) = 0, que corresponde a dos casos:
2a)
a = - 1,
reemplazas y la matriz queda:
A =
1 2 -1
1 1 -1
-1 0 1;
luego, observa que el derterminante de la submatriz cuyos elementos hemos remarcado queda:
det(A') = 1 - 2 = -1 ≠ 0, por lo que el rango de la matriz es 2 para este caso;
2b)
a = 1,
reemplazas y la matriz queda:
A =
1 2 1
1 1 1
1 0 1;
luego, observa que el derterminante de la submatriz cuyos elementos hemos remarcado queda:
det(A'') = 1 - 2 = -1 ≠ 0, por lo que el rango de la matriz es 2 para este caso.
Luego, tienes que no existen valores de a para los que el rango de la matriz sea igual a 1.
Espero haberte ayudado.