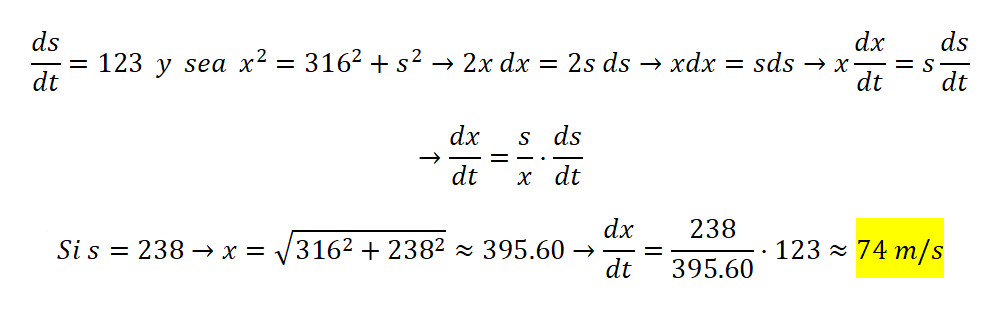
En un sencillo juego de vídeo unos aviones vuelan de izquierda a derecha siguiendo la
trayectoria de y=1+1/x, x>0. Pueden disparar proyectiles en la dirección de la tangente
a la curva. Si hay un objetivo en el punto P=(4;0), ¿donde se debe hacer el disparo para
acertar en el blanco?
Adelanto que la rta es: P=(√5-1; (5+√5)/4)
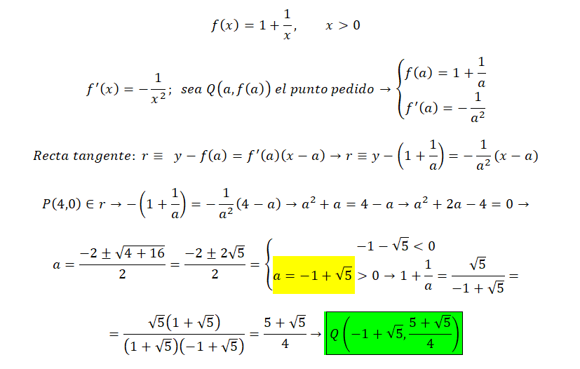
Hola, de nuevo ..:) Por que 24 -2K ≠ 0 es N/0 ? ; hayamos a la vez que K=12
K es el valor que busco para que f(x) tenga limite finito en x=-3
f(x) = x^2-5x-2K / x+3

Si la expresión de la función es:
f(x) = (x2 - 5*x - 2*k)/(x + 3),
observa que el denominador tiende a cero cuando x tiende a - 3, por lo que es condición necesaria que el numerador también tienda a cero para que exista el límite.
Luego, plantea el límite para x tendiendo a - 3 del numerador:
Lím(x→-3) (x2 - 5*x - 2*k) = (-3)2 - 5*(-3) - 2*k = 9 + 15 - 2*k = 24 - 2*k = 0,
luego, despejas en la última igualdad remarcada, y queda: k = 12.
Luego, reemplazas en la expresión del numerador, y queda:
N = x2 - 5*x - 2*12 = x2 - 5*x - 24 = factorizas = (x + 3)*(x - 8).
Luego, plantea el límite que te piden en el enunciado:
Lím(x→-3) (x2 - 5*x - 24/(x + 3) = sustituyes en el numerador = Lím(x→-3) (x + 3)*(x + 8)/(x + 3) = simplificas = Lím(x→-3) (x + 8) = - 3 + 8 = 5.
Espero haberte ayudado.
Bien, perdonad que este del revés, este es un ejercicio que puso mi profe como ejemplo de teoria la cosa es que a él le daba 1 que venía de e^0. Como yo lo he vuelto ha hacer porque mi profe pues se salta bastantes pasos y ahora que lo he hecho yo veo que no me da lo mismo, podriais decirme en donde me he equivocado? Gracias :*![]()
hola tengo una duda a ver si vosotros podeis resolvérmela...... como se calcula esta potencia
50: 5-4 partido de 5-1 · 5 8
gracias de antemano
Si x<y, entonces y=x+ε ----------------------------> "Si x es menor que y entonces y=x+algo"
Entonces (x+y)/2 = (x+x+ε)/2 = x + ε/2 ----------------------------> "Como y= x+algo, entonces (x+y)/2 = (x+x+algo)/2 = x + algo/2
Por lo que x
Concluimos que la media aritmética se encuentra entre x e y
**Con "algo" nos referimos a un trozo, muy pequeño o muy grande, pero siempre mayor que cero. Lo hemos representado con el letra griega épsilon ε