
¡Hola! Nos encantaría ayudarte, pero no solemos responder dudas universitarias que no tengan que ver específicamente con los vídeos que David Calle ha grabado como excepción. O de otras asignaturas que no sean Matemáticas, Física y Química. Lo sentimos de corazón… Esperamos que lo entiendas.
Ojalá algún unicoo universitario se anime a ayudarte (de hecho, lo ideal es que todos los universitarios intentarais ayudaros los unos a los otros).
Ayudaa no entiendo lo que es hacer operaciones de números enteros sacando factor común
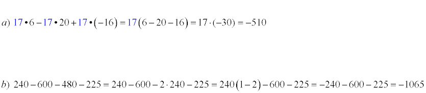
a) 17•6-17•20+17•(-16)
b) 240-600-480-225
El primero sería 17(6-20-16)
y el segundo 15(16-40-32-15)
la idea de sacar factor común es simplificar un poco las operaciones, para verificar podes multiplicar todo por el factor que sacaste (en este caso 15 y 17) y te tiene que quedar lo mismo, si te queda distinto es porque algo está mal, saludos
a)
17*6-17*20+17*(-16)= 17*(6-20-16)= 17*(2*3- 2*10- 2*8)= 17*2*(3-10-8)= 17*2*(-15)= -510
Ten en cuenta que haces el mínimo común múltiplo de 6,20 y -16 y obtienes 2
b)
240-600-480-225= 15*16-15*40-15*32-15*15= 15*(16-40-15-32) = 15*(-71)= -1065
Ten en cuenta que haces el mínimo común múltiplo de 240, -600, -480, -225 y obtienes 15
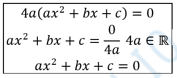
Hola unicoos, ¿me pueden resolver esta duda básica que tengo? ¿por qué si por ejemplo en la siguiente ecuación tenemos 4a(ax²+bx+c)=0, el 4a se nos va?
Hola, como se resolvería este problema.
Yo he hecho el siguiente sistema:
A+B+C=135
0'96A+1'88B+2'85C=119
2'76A+0'9B+4'7C=106
Al hacer este sistema me da que la C es negativa, me he equivocado al resolverlo o he planteado mal el problema?
Hola ! me podrian sacar esta duda ?
Estoy estudiando el tema Limite Radial/Direccional de una función y tengo una duda con el resultado
El ejercicio es el siguiente : calcular el limite en el origen de (2χ²y) / ( y²+x4 )
al hacer el calculo ( f(x , y) = f(x , mx) obtengo como resultadao una 0/m²
¿en este caso el limite radial existe y es cero o al depender de m el limite no existe?

Vamos con una precisión.
Recuerda que si el límite de la función en el origen existe, para cualquier trayectoria que pase por dicho punto el resultado debe ser siempre el mismo.
Observa que tienes un límite indeterminado, ya que tanto el numerador como el denominador tienden a cero.
Luego, observa que la expresión del denominador es una suma de potencias pares, y observa que el exponente al que está elevada la variable y es la mitad del exponente a la que está elevada la variable x; por lo que es muy conveniente explorar las trayectorias parabólicas cuyas ecuaciones tienen la forma:
y = ax2, que pasan por el origen.
Luego, plantea el límite de la expresión de la función, para ello sustituyes y queda:
Lím(x→0) f(x,ax2) = Lím(x→0) 2x2(ax2)/( (ax2)2+x4 ) = Lím(x→0) 2ax4/(a2x4+x4),
luego extraes factor común en el denominador, y queda:
Lím(x→0) f(x,ax2) = Lím(x→0) 2ax4 / ( x4(a2+1) ),
luego simplificas, resuelves y queda:
Lím(x→0) f(x,ax2) = 2a/(a2+1).
Luego, tienes que el límite toma valores diferentes según sea el valor del coeficiente a de la trayectoria parabólica, por lo que tienes que el límite de la función en el origen no existe.
Espero haberte ayudado.
Me podríais explicar, partiendo de este sistema
como desarrollaríamos para cambiar el símbolo al comprobar si pertenece o no al sistema? Es decir sabemos que debemos tomar un valor por encima o debajo de la recta y comprobar si se cumple o no la inec. En este caso yo cojo -x+2y>=10 y tengo que es falsa. Viendo las respuestas puedo intuir que me estoy equivocando y supongo que tiene que ver con el cambio de signo de la inecuacion al mover la -x... Pero cuando yo hago la comprobación x=0 y y=0 por lo tanto no hay signo... espero haberme explicado. Muchas gracias.
haciendo referencia a este ejercicio:
como buscaría la zona valida de la inecuación y>=9? según entiendo sería por encima del 9. Pero entonces no cuadra con el resto de opciones...

La opción correcta es la última gráfica, para ello intenta elegir un punto de referencia como por ejemplo el (0,0) y sustituyelo en las inecuaciones y analiza si ese punto cumple o no las desigualdades..si lo hace isgnificará que ese punto pertence a esa region del plano
Espero lo entiendas.
¿Como resuelvo este problema de manera formal? He hallado los valores de la inecuación, pero de una manera un poco chapucera y mi profesor es muy exigente con la formalidad, pero estatha sido la forma que se me ocurrió.![]()

Tienes el intervalo abierto A = (3 , 7), y observa que su punto medio es: c = (7 + 3)/2 = 5, y que su radio es: δ = (7 - 3)/2 = 2.
Luego, puedes expresar al intervalo como conjunto: A = { x ∈ R: 3 < x < 7 }.
Luego, tienes la doble inecuación correspondiente al intervalo:
3 < x < 7,
restas el valor del radio en los tres miembros de la doble inecuación, y queda:
3 -5 < x - 5 < 7-5,
resuelves el primer y el tercer miembro, y queda
-2 < x - 5 < 2,
escribes la inecuación correspondiente con valor absoluto:
|x - 5| < 2.
Espero haberte ayudado.