hola alguien me puede explicar paso a paso como sacar la ley de asignacion de esta funcion :
(f o g )(x)
siendo: f(x)=1/x-1 ^ g(x)=√x+1
f(x)=x^2 - 4 ^ g(x)=|x|
f(x)=3^x + 2^x+1 ^ g(x)=x^2
Por favor si me pueden ayudar por el método de sustitución o cualquier otro método. El problema es este: En una empresa trabajan 60 personas. Usan gafas el 16% de los hombres y el 20% de las mujeres. Si el número total de personas que usan gafas es 11. Cuántos hombres y mujeres hay en la empresa?
Sistema de ecuaciones:
Usan gafas el 16% de los hombres y el 20% de las mujeres.⇔ 0.16x+0.20y=11
En una empresa trabajan 60 personas (hombres+mujeres)⇔ x+y=60
Resolución sistema de ecuaciones:
(*) 0.16x+0.20y=11 -------multiplicamos por -5 -----> -0.8x-y= -55
(**) x+y=60 --------------------multiplicamos por +1 ----> +x+y= +60 ------sumando obtenemos ------> 0.2x= 5 -------> x= 5÷(0.2) -----> x= 25 hombres
Sustituyendo la x que acabamos de obtener en la ecuación (**) obtenemos:
x+y=60 ---------> 25+y=60 -----> y=35 mujeres
Buenas noches;
intento resolver esto (4X+4)/(4X^2+36)+2/(2X-6)
factorizando los polinomios pero no consigo llegar al resultado esperado que deberia ser (2X+4)/(X-3)(X+3).
podéis ayudarme explicandome los pasos a seguir?
Muchas gracias.
Un saludo, José Manuel

Por favor, verifica que esté correctamente consignado el denominador del primer término,
porque si tienes la expresión (observa que consignamos resta en lugar de suma en el denominador del primer término):
(4x+4)/(4x2-36) + 2/(2x-6) =
multiplicas y divides en el segundo término por (2x+6), distribuyes, reduces términos en el denominador, y queda:
= (4x+4)/(4x2-36) + 2*(2x+6)/(4x2-36) =
extraes denominador común, distribuyes en el segundo término, y queda:
= (4x+4+4x+12)/(4x2-36) =
reduces términos semejantes en el numerador, y queda:
= (8x+16)/(4x2-36) =
extraes factor común 4 en el numerador y también en el denominador, y queda:
= 4*(2x+4) / ( 4*(x2-9) ) =
simplificas y queda:
= (2x+4) / (x2-9) =
factorizas el denominador (observa que es una resta de cuadrados perfectos), y queda:
= (2x+4) / ( (x+3)*(x-3) ).
Espero haberte ayudado.
Me dan un problema en el que nos dicen que f(x) no es continua en x=6 y nos dan una función g(x) = 3x / x-2. . como encuentro los valores de x para los que puede asegurar la continuidad de f °g (composicion funciones)

Recuerda la definición de función compuesta:
( f o g )(x) = f( g(x) ),
luego, como tienes que la función f no es continua en x = 6, plantea que su argumento en la expresión debe ser distinto de 6, y tienes la condición:
g(x) ≠ 6, sustituyes la expresión de la función en el primer miembro, y queda:
3x/(x-2) ≠ 6, haces pasaje de divisor (observa que x debe ser distinto de 2) como factor, y queda:
3x ≠ 6*(x - 2), distribuyes en el segundo miembro, y queda:
3x ≠ 6x - 12, haces pasaje de término, y queda:
-3x ≠ -12, haces pasaje de factor como divisor, y queda:
x ≠ 4.
Luego, debes plantear que el dominio de la función compuesta es el conjunto de los número reales, excepto x = 2 (que no pertenece al dominio de la primera función en la composición), y x = 4 (cuya imagen según la primera función es g(4) = 6, que es el elemento para el cuál la segunda función no es continua.
Luego, tienes que el dominio de la función compuesta (continua) queda:
Dfog = { x ∈ R: x ≠ 2 y x ≠ 4 } = R - { 2 , 4 }.
Espero haberte ayudado.

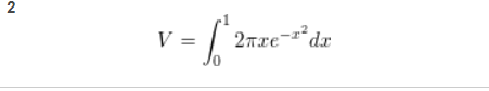
Comienza por plantear la sustitución (cambio de variable):
w = - x2 (1), de donde tienes:
dw = - 2*x*dx, haces pasajes de términos y queda:
2*x*dx = - dw.
Luego, tienes la integral de tu enunciado, para evaluar con Regla de Barrow entre 0 y 1:
V = ∫ 2*π*x*e-x^2*dx, extraes factor constante, ordenas factores, y queda:
V = π* ∫ e-x^2*2*x*dx, sustituyes expresiones, y queda:
V = π* ∫ ew*(-dw), extraes el signo, y queda:
V = -π* ∫ ew*dw, integras (indicamos con corchetes que debemos evaluar con Regla de Barrow) y queda:
V = -π*[ ew ], sustituyes la expresión señalada (1) y queda:
V = -π*[ e-x^2 ], evalúas, y queda
V = -π*( e-1 - e0 ) = -π*( e-1 - 1) ≅ 1,9859.
Espero haberte ayudado.