
1)
Observa que la raíz cúbica no impone restricción para su argumento y, como éste es una expresión fraccionaria, plantea que su denominador debe ser distinto de cero, y tienes:
1 - |x| ≠ 0, haces pasaje de término, y queda:
- |x| ≠ - 1, multiplicas en ambos miembros por -1, y queda:
|x| ≠ 1, luego, por definición de valor absoluto, tienes dos opciones:
x ≠ -1 y x ≠ 1,
por lo tanto, el dominio de la función queda expresado:
D = R - { -1 , 1 }.
2)
Observa que la expresión de la función tiene forma fraccionaria,
y que la expresión de su denominador es un logaritmo, por lo que su argumento debe ser distinto de cero,
por lo tanto, plantea:
|x - 1| ≠ 0, de donde tienes:
x ≠ 1 (1);
luego, plantea que el denominador de la expresión debe ser distinto de cero (observa que el argumento del logaritmo es siempre positivo):
ln(|x-1|) ≠ 0, compones en ambos miembros con la función inversa del logaritmo natural, y queda:
|x - 1| ≠ e0, resuelves el segundo miembro, y queda:
|x - 1| ≠ 1, luego, por definición de valor absoluto, tienes dos opciones:
a)
x - 1 ≠ 1, haces pasaje de término, y queda:
x ≠ 2 (2);
b)
x - 1 ≠ -1, haces pasaje de término (observa que tienes cancelaciones), y queda:
x ≠ 0 (3),
por lo tanto, el dominio de la función queda expresado:
D = R - { 0 , 1 , 2 }.
Espero haberte ayudado.
Hola Unicoos,
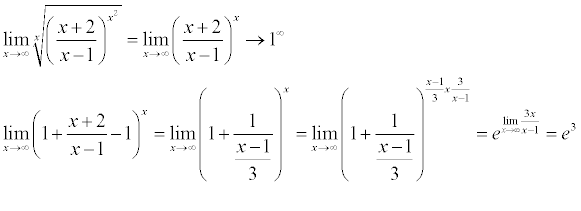
Me pueden ayudar paso a paso con este límite, porque al sustituir el ∞ me queda una raíz de índice ∞ y dentro de la raíz "uno elevado a ∞" ( ∞√1∞ ) sé que lo de dentro de la raíz es indeterminación, pero qué hago con el índice?
Muchas gracias
Hola, como se resuelve este problema.
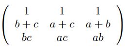
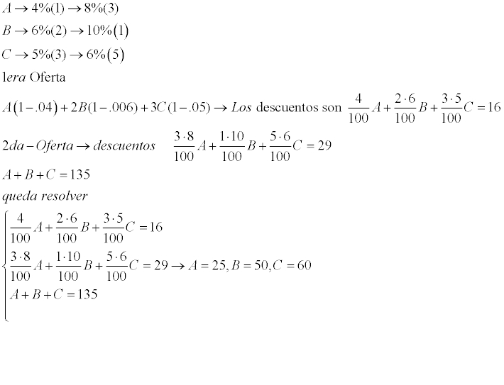
Un hipermercado inicia una campaña de ofertas por sus tres productos estrella, A, B y C. En la primera de ellas, ofrece un descuento del 4% en el producto A, del 6% en el producto B y y del 5% en el producto C. A las 2 semanas, pon en marcha la segunda oferta, descontando un 8% sobre el precio inicial de A, un 10% sobre el precio inicial de B y un 6% sobre el precio inicial de C. Sí un cliente compra durante la primera oferta un producto A, dos productos B y tres productos Con, se ahorra 16 €. Sí sí adquiere durante la segunda promoción tres productos A, un producto B y 5 productos C, se ahorra 29 €, y si compras y descuentos un producto A, B y C, debe abonar 135 €. Calcular el precio de cada producto antes de las ofertas
otra duda..soy malisimo en mates de verdad..
En una tienda de deportes se adquieren una camiseta y unas zapatillas. La suma de los precios que marcan los
dos productos es de 55€, pero el dependiente informa al cliente que las camisetas están rebajadas un 6% y las
zapatillas un 12%, por lo que en realidad debe pagar 49,30€.
a) ¿Qué precio marcaban la camiseta y las zapatillas?
b) ¿Qué precio ha abonado finalmente por cada uno de los productos?

Puedes denonimar:
x al precio de una camiseta,
y al precio de un par de zapatillas.
Luego, tienes en tu enunciado:
"la suma de los precios es 55 euros", por lo que puedes plantear la ecuación:
x + y = 55 (1).
Luego, cuando se realiza la compra, tienes que los nuevos precios son:
x - 0,06x = 0,94x para una camiseta,
y - 0,12y = 0,88y para un par de zapatillas, por lo que puedes plantear la ecuación:
0,94x + 0,88y = 49,30 (2),
ya que tienes en el enunciado:
"las camisetas están rebajadas un 6% y las zapatillas un 12%, y el cliente debe pagar 49,30 euros".
Luego, haces pasaje de término en la ecuación señalada (1) y queda:
y = 55 - x (3),
sustituyes en la ecuación señalada (2) y queda:
0,94x + 0,88(55 - x) = 49,30, distribuyes en el segundo término, y queda
0,94x + 48,40 - 0,88x = 49,30, haces pasaje de término, reduces términos semejantes, y queda:
0,06x = 0,90, haces pasaje de factor como divisor, y queda
x = 15 euros, que es el precio inicial de una camiseta;
luego reemplazas en la ecuación señalada (3), resuelves y queda:
y = 40 euros, que es el precio inicial de un par de zapatillas.
Espero haberte ayudado.
para antonio silvio:
la verdad que me pierdo en algun resultado
ej:0,94x+48,4-0,88x=49,30 a mi me da 48,46
y luego el 0,06=0,90 ,de donde sale el 0,90? hay algun detalle que me salto..
Hola amigos , odio preguntar tanto , pero estoy con una relación de integrales y me he bloqueada con una , por mucho que busco no doy con la solución , imagino que es sustituyendo expresiones trigonometricas , pero no doy con la tecla , si alguien pudiera desarrollarlo para darme luz , se lo agradecería mucho , es la integral siguiente
[tg(2x + 1 )]^2 / cos^2(2x + 1 ) *dx ,
muchas gracias

Puedes plantear la sustitución (cambio de variable):
w = tan(2x+1), de donde tienes:
dw = ( 1/cos2(2x+1) )*2*dx, haces pasaje de factor como divisor, y queda: dw/2 = ( 1/cos2(2x+1) )*dx.
Luego, sustituyes, y la integral queda:
I = ∫ w2*dw/2 = (1/2)*∫ w2*dw = (1/6)*w3 + C = (1/6)*tan3(2x+1) + C.
Espero haberte ayudado.
Necesito redondear 25642 euros a miles de euros y calcular el error absoluto. No lo tengo del todo claro. Gracias!!