
¡Hola! Nos encantaría ayudarte, pero no solemos responder dudas universitarias que no tengan que ver específicamente con los vídeos que David Calle ha grabado como excepción. O de otras asignaturas que no sean Matemáticas, Física y Química. Lo sentimos de corazón… Esperamos que lo entiendas.
Ojalá algún unicoo universitario se anime a ayudarte (de hecho, lo ideal es que todos los universitarios intentarais ayudaros los unos a los otros).

Te ayudo con la ecuación diferencial con condición inicial que tienes en tu enunciado.
e-2x*y*y ' - 1 = y4, con la condición inicial: y(0) = 1;
haces pasaje de término y queda:
e-2x*y*y ' = y4 + 1,
expresas a la derivada como cociente de diferenciales, y queda:
e-2x*y*dy/dx = y4 + 1,
haces pasajes de factores y de divisores para separar variables, y queda:
y*dy/(y4 + 1) = e2x*dx,
multiplicas por 2 en ambos miembros, y queda:
2*y*dy/(y4 + 1) = 2*e2x*dx,
aplicas la sustitución (cambio de variable): w = y2 (1), de donde tienes: dw = 2*y*dy, y también tienes: w2 = y4,
luego sustituyes, y queda:
dw/(w2 + 1) = 2*e2x*dx,
integras en ambos miembros, y queda:
arctan(w) = e2x + C,
sustituyes la expresión señalada (1) y queda:
arctan(y2) = e2x + C,
que es una solución general implícita de la ecuación diferencial,
reemplazas los valores iniciales: x = 0 e y = 1, y queda
arctan(1) = e0 + C,
resuelves términos numéricos, haces pasaje de término, y queda:
π/4 - 1 = C,
luego reemplazas en la expresión de la solución general, y queda:
arctan(y2) = e2x + π/4 - 1,
que es una solución particular de la ecuación diferencial, sujeta a las condiciones iniciales del enunciado del problema.
Espero haberte ayudado.

2)
Puedes plantear la sustitución (cambio de variable): w = senx, de donde tienes: dw = cosx*dx,
luego tienes el denominador del argumento de la integral:
2 - cos2x = 2 - (1 - sen2x) = sustituyes = 2 - (1 - w2) = 1 + w2;
luego, sustituyes y la integral queda:
I = ∫ ( 1/(1+w2)*dw = arctan(w) + C = arctan(senx) + C.
3)
Puedes plantear el Método de Integración por Partes:
u = senx, de donde tienes: du = cosx*dx,
dv = e3x, de donde tienes: v = e3x/3;
luego, tienes la integral:
I = ∫ e3x*senx*dx, aplicas el método y queda:
I = (1/3)*e3x*senx - (1/3)*∫ e3x*cosx*dx,
luego, vuelves a plantear el Método de Integración por Partes en la integral secundaria:
u = cosx, de donde tienes: du = - senx*dx,
dv = e3x, de donde tienes: v = e3x/3;
luego, tienes la integral de tu enunciado queda:
I = (1/3)*e3x*senx - (1/3)*( (1/3)*e3x*cosx + (1/3)* ∫ e3x*senx*dx ),
sustituyes la expresión de la integral remarcada (observa que el la que tienes en tu enunciado), y queda:
I = (1/3)*e3x*senx - (1/3)*( (1/3)*e3x*cosx - (1/3)*I ),
distribuyes el segundo término, y queda:
I = (1/3)*e3x*senx - (1/9)*e3x*cosx - (1/9)*I,
haces pasaje de término, y queda:
(10/9)*I = (1/3)*e3x*senx - (1/9)*e3x*cosx,
multiplicas por 9/10 en todos los términos de la ecuación, y queda:
I = (3/10)*e3x*senx - (1/10)*e3x*cosx + C.
Espero haberte ayudado.

¡Hola! Nos encantaría ayudarte, pero no solemos responder dudas universitarias que no tengan que ver específicamente con los vídeos que David Calle ha grabado como excepción. O de otras asignaturas que no sean Matemáticas, Física y Química. Lo sentimos de corazón… Esperamos que lo entiendas.
Ojalá algún unicoo universitario se anime a ayudarte (de hecho, lo ideal es que todos los universitarios intentarais ayudaros los unos a los otros).
Muy buenas a todos!! Tengo este problemas sobre canales de la materia Teoría de la Información, se que el símbolo de ≪ tiene que ver con la aproximación de Poisson. He hecho ejercicios de demostración antes pero este es diferente, no se como podría aplicar las formulas de propiamente con la condición del intervalo de Poisson. dice los siguiente:
Considérese una fuente con m > 2 (símbolos de la fuente). Un símbolo tiene probabilidad de α≪1/m y los simbolos restantes sin igualmente probables. Demuestre que:
H (X)=log2(m−1)+αlog2(1/ α)ssopia
Sess

¡Hola! Nos encantaría ayudarte, pero no solemos responder dudas universitarias que no tengan que ver específicamente con los vídeos que David Calle ha grabado como excepción. O de otras asignaturas que no sean Matemáticas, Física y Química. Lo sentimos de corazón… Esperamos que lo entiendas.
Ojalá algún unicoo universitario se anime a ayudarte (de hecho, lo ideal es que todos los universitarios intentarais ayudaros los unos a los otros).
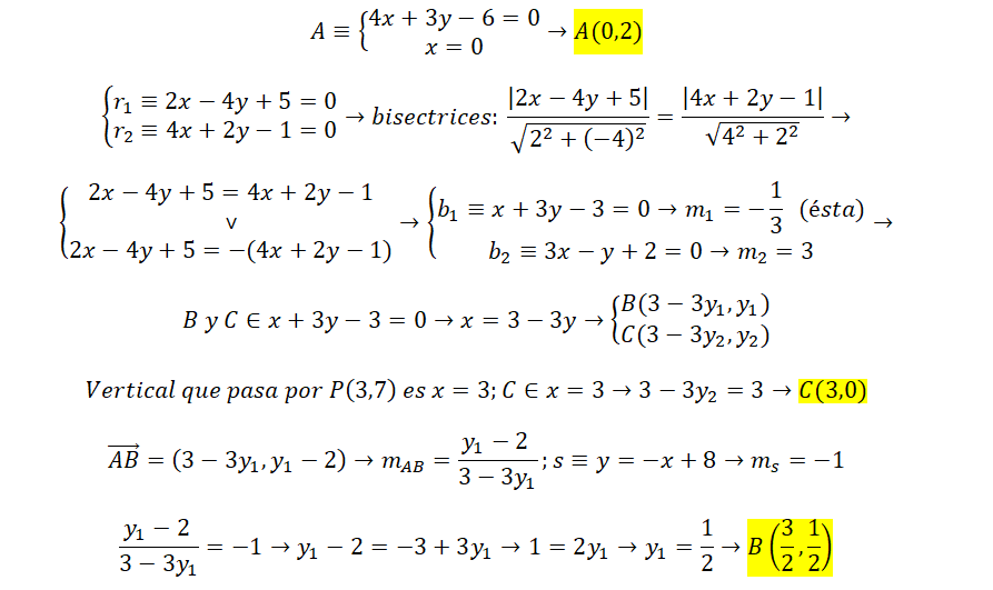
Hola, buenas noches, podria ayudarme a realizar este ejercicio ??
Es de un parcial pasado.
A mi los vértices me dan asi:
A(0,2)
C(3,11)
B(0,2).
Como puede observar unos o dos de los vértices son incorrectos. Si puede ayudarme se lo agradeceria muchisimo.
Y la última. Muchas gracias a todos.
Una compañia farmaceutica asegura que su nueva medicina (A) cura la enfermedad con solo el 10% de los pacientes sufriendo nauseas como efecto secundario. Un estudio medico esta preocupado por la probabilidad de los efectos secundarios y propone un estudio con el historial de 400 pacientes. La recomendación para los jefes de la farmaceuticaes usar una alternativa mas cara, (B) si el 13% o más de los pacientes sufren efectos secundarios.
-¿Cual es la probabilidad de una decisión contraria al farmaco (A) si la probabilidad de efectos secudarios es del 10%?
-¿Y de una decisión favorable del Farmaco (A) si la probabilidad es del 15%?

¡Hola! Nos encantaría ayudarte, pero no solemos responder dudas universitarias que no tengan que ver específicamente con los vídeos que David Calle ha grabado como excepción. O de otras asignaturas que no sean Matemáticas, Física y Química. Lo sentimos de corazón… Esperamos que lo entiendas.
Ojalá algún unicoo universitario se anime a ayudarte (de hecho, lo ideal es que todos los universitarios intentarais ayudaros los unos a los otros).
Un taller mecánico puede ordenar componentes y los recibe al dia siguiente por la mañana. La demanda de los componenetes esta distribuida con una media de 50 componentes/dia y una desviación tipica de 15 componentes/dia.
- ¿Cuantos componentes debería el taller tener al principio del dia para que con una probabilidad del 99% la demanda del dia sea satisfecha?

¡Hola! Nos encantaría ayudarte, pero no solemos responder dudas universitarias que no tengan que ver específicamente con los vídeos que David Calle ha grabado como excepción. O de otras asignaturas que no sean Matemáticas, Física y Química. Lo sentimos de corazón… Esperamos que lo entiendas.
Ojalá algún unicoo universitario se anime a ayudarte (de hecho, lo ideal es que todos los universitarios intentarais ayudaros los unos a los otros).
Las notas de 500 alumnos en un examen estan distribuidas con una media de 45 y una desviación tipica de 20. ¿Cual es el rango interquartil (interquartile range en ingles)?

¡Hola! Nos encantaría ayudarte, pero no solemos responder dudas universitarias que no tengan que ver específicamente con los vídeos que David Calle ha grabado como excepción. O de otras asignaturas que no sean Matemáticas, Física y Química. Lo sentimos de corazón… Esperamos que lo entiendas.
Ojalá algún unicoo universitario se anime a ayudarte (de hecho, lo ideal es que todos los universitarios intentarais ayudaros los unos a los otros).