me pueden ayudar a resolver esto es que no lo entiendo
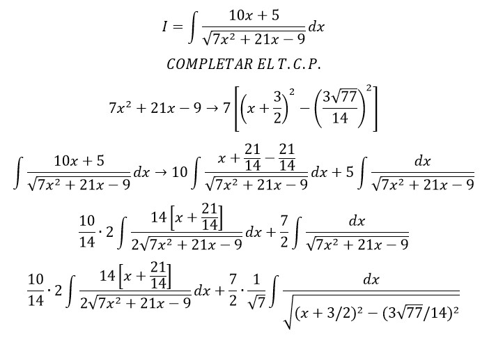
∫(10x+5)/√(7x^2+21x-9)
Mi respuesta fue que Converge a "e" elevado a la -10 osea que h(n) esta acotada
y que como se trata de una sucesión decreciente h(n) < e elevado a la -10 con n∈N
Ahora lo que no se es la monotonia y tampoco se si es decreciente o estrictamente decreciente.. Me explican la diferencia? en caso de qe mi respuesta este mal me gustaria saber la correcta .
GRACIAS!!!!
Buenas noches, ¿Alguien me podria ayudar explicandome este ejercicio?
lim (senx-x)/ x - tgx
x-> 0
Se que debo aplicar l'hopital y me quedaria :
lim (cos x -1) /( 1- sec2 x)
x-> 0
Pero en el siguiente paso al quedar
lim ( -senx)/ (2[cosx]-3 [-senx])
x->0
No entiendo como la sec2x pasa a ser un coseno multiplicado por un sen. Si alguien me pudiera explicar se lo agradeceria, gracias.
Hola, disculpe las molestia, me podría ayudar a hacer este ejercicio ??
Yo lo plantee de esta manera:
KM/KB=2/3
x y
2/3=-1-0/xb+1 2/3=4-2/yb-2
Xb=-5/2 Yb=5
B (-5/2, 5)
Tg del angulo= 45 grados= 1
Si la recta inicial pasa por el punto P y B entonces a través de estos puntos puedo buscar la pendiente de la recta inicial, por ende puedo decir:
mBP= YO-YB/XP-XB= 1-5/-2+5/2=8
mBP=8
mBP=m1
m1=8
Tg del ángulo= mf - mi/1+mf.mi (m1= mf porque el angulo va en sentido antihorario)
Tg 45 grados= 1
1= 8-m2/1+8.m2
1+8m2=8-m2
9m2=7
m2=7/9
Si el punto L pertenece a la misma recta que R2 y el punto A, entonces puedo decir:
mAL=m2
7/9=9-YA/3+2
35=81-9YA
YA=46/9
Como puede ver el resultado no es compatible, me gustaria saber que esta mal en mi razonamiento o es que el resultado que "debería ser" esta incorrecto, y por ende el mio esta bueno. Por su atencion muchas gracias.

Me encantaría ayudarte, pero no respondo dudas universitarias que no tengan que ver específicamente con los videos que ya he grabado como excepcion. O de otras asignaturas que no sean matemáticas, física y química. Lo siento de corazón… Espero lo entiendas
Ojalá algun unicoo universitario se anime a ayudarte (de hecho lo ideal es que todos los universitarios intentarais ayudaros los unos a los otros)
buenas, necesito ayuda con un ejercicio de vectores
Hallar un vector "u" de modulo 2, con igual dirección y sentido contrario que v =(1,3)

1°)
Observa que u es un múltiplo escalar del vector v, cuya expresión es: v = <1,3>.
2°)
Plantea la expresión del vector u (indicamos con k a un número real distinto de cero):
u = k*v = k*<1,3> = <k,3*k> (1).
3°)
Plantea el módulo del vector u:
|u| = √( k2 + (3*k)2 ) = √(k2 + 9*k2) = √(10*k2) = √(10)*√(k2) = √(10)*|k|.
4°)
Luego, tienes en tu enunciado:
|u| = 2, sustituyes la expresión del módulo del vector u, y queda:
√(10)*|k| = 2, multiplicas por √(10) en ambos miembros, y queda:
(√(10))2*|k| = 2*√(10), resuelves el coeficiente en el primer miembro, y queda:
10*|k| = 2*√(10), haces pasaje de factor como divisor, y queda:
|k| = √(10)/5, luego, tienes dos posibilidades:
a)
k = +√(10)/5, que corresponde a un vector con igual dirección e igual sentido que el vector v, que no corresponde a este problema;
b)
k = -√(10)/5, que corresponde a un vector con igual dirección y sentido opuesto al vector v,
luego reemplazas en la expresión señalada (1) y queda:
u = < -√(10)/5 , 3*(-√(10)/5) > = < --√(10)/5 , -3*√(10)/5 >.
Espero haberte ayudado.