
1)
Separas en términos, y tienes la suma de integrales:
∫ (2*x4 + x2)*dx = separas en términos = ∫ 2*x4*dx + ∫ x2*dx = extraes el factor numérico en el primer término = 2*∫ x4*dx + ∫ x2*dx = integras:
= [ 2*x5/5 + x3/3 ] = evalúas con Regla de Barrow:
= (15/5 + 13/3) - (05/5 + 03/3) = (1/5 + 1/3) - (0 + 0) = 8/15 - 0 = 8/15.
2)
∫ x*cos(x/2)*dx =
plantea la sustitución (cambio de variable): x/2 = w (1), de donde tienes: x = 2*w, y también tienes: dx = 2*dw, sustituyes y queda:
= ∫ 2*w*cosw*2*dw = extraes factores constantes y queda:
= 4*∫ w*cosw*dw =
aplicas el Método de integración por partes:
u = w, de donde tienes: du = dw, dv = cosw*dw, de donde tienes: v = senw:
= 4*( w*senw - ∫ senw*dw ) = integras en el segundo término del agrupamiento:
= 4*( w*senw - (- cosw) ) + C = resuelves el signo en el segundo término del agrupamiento, distribuyes en el primer término, y queda:
= 4*w*senw + 4*cosw + C =
sustituyes la expresión señalada (1) y queda:
= 4*(x/2)*sen(x/2) + 4*cos(x/2) + C =
simplificas en el primer término, y queda:
= 2*x*sen(x/2) + 4*cos(x/2) + C.
3)
∫ ( sen(√(x))/√(x) ) )*dx =
plantea la sustitución (cambio de variable): w =√(x) (1), de donde tienes: dw = ( 1/(2*√(x)) ) *dx, y también tienes: 2*dw = ( 1/√(x) )*dx, sustituyes y queda:
= ∫ senw*2*dw = extraes el factor constante y queda:
= 2*∫ senw*dw = integras y queda:
= 2*(- cosw) + C = resuelves el primer término, y queda:
= - 2*cosw + C = sustituyes la expresión señalada (1) y queda:
= - 2*cos( √(x) ) + C.
Espero haberte ayudado.
En un triangulo rectángulo ABC (B=90°), señale el equivalente de:
L= cos²A + cos²C + cot²C

Observa que en el triángulo rectángulo tienes que los ángulos interiores A y C son complementarios, por lo tanto tienes las identidades:
cosA = senC (1), senA = cosC (2), tanA = cotgC (3), cotgA = tanC (4), secA = cosecC (5) y cosecA = secC (6).
Luego, tienes la expresión:
L = cos2A + cos2C + cotg2C,
aplicas la identidad señalada (1) en e primer término, y queda:
L = sen2C + cos2C + cotg2C,
aplicas la identidad fundamental (o pitagórica) para los términos remarcados, y queda:
L = 1 + cotg2C,
aplicas la identidad de la cotangente en función del coseno y del seno, y queda:
L = 1 + cos2C/sen2C,
extraes denominador común, y queda:
L = (sen2C + cos2C)/sen2C,
aplicas la identidad fundamental (o pitagórica) en el numerador, y queda:
L = 1/sen2C,
aplicas la identidad de la cosecante en función del seno, y queda:
L = cosec2C, aplicas la identidad señalada (5) y queda:
L = sec2A.
Observa que las dos expresiones remarcadas son equivalentes.
Espero haberte ayudado.
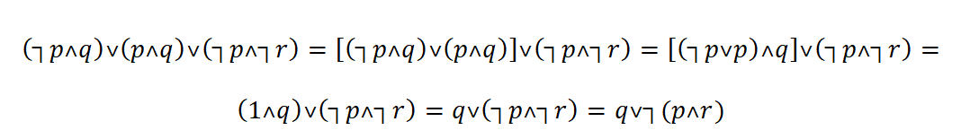
El b) creo que el método es utilizar la distributiva, conmutativa y asociativa junto con contradicción y tercio excluso y alguna más; pero no he llegado a una forma significativamente más simplificada que la original