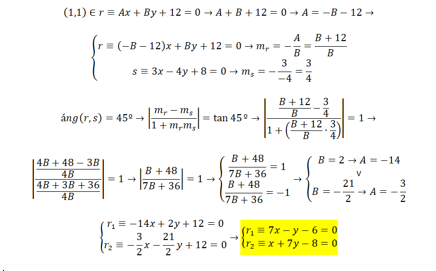
Hola buenas noches, necesito que alguen me esplique como hacer operaciones comvinadas con fracciones con algun ejemplo.
Paula rodgers

Hola Paula, sería bueno que envies tus ejercicios con tus dudas. Por otra parte, los ejercicios se hacen de la misma manera que los que no poseen fracciones, separando en términos, y realizando las operaciones respetando el orden, potencias y raíces, multiplicaciones y divisiones, sumas y restas. Sin olvidar primero (), después [] y por ultimo {}.
Saludos!!!
Quien me ayuda por favor
Cálculo Integral de Funciones Exponenciales
∫℮4x dx
∫ (℮x + 1)2 dx
∫ x2 ℮ X3
Gracias de ante mano
DEMOSTRAR: No existe z ∈ R Tal que x=<z para todo x ∈ R

Me encantaría ayudarte, pero no respondo dudas universitarias que no tengan que ver específicamente con los videos que ya he grabado como excepcion. O de otras asignaturas que no sean matemáticas, física y química. Lo siento de corazón… Espero lo entiendas
Ojalá algun unicoo universitario se anime a ayudarte (de hecho lo ideal es que todos los universitarios intentarais ayudaros los unos a los otros)
Están pintadas diferente porque cada una representa una de las condiciones del sistema.
La azul representa y ≤ 4
La roja representa -x + y ≥ -2
Como dices tú, la parte de las rectas que están junto al área marcada, deberían estar incluidas, es decir, pintadas del mismo color.
Saludos!
*representa: me refiero a que es un elemento que sirve para representar la inecuación.
La gráfica está bien hecha, si lo haces por colores no hay distinción en la representación de los sistemas de inecuaciones entre mayor o mayor/igual y el menor o menor/igual
En este caso es mejor que pongas explícitamente el sistema de inecuaciones junto a la gráfica para evitar malas interpretaciones:
Mi recomendación es que utilices la línea discontinua cuando sea mayor o menor y continua cuando sea ≤ ó ≥
de todas formas especifica debajo de de la gráfica que:
- - - - - - - - no incluye la línea /ecuación
y _______________ sí incluye la línea
para que que no haya ambigüedades.

Gracias por tus comentario Ángel. Si lo he entendido bien con esta imagen
me intentas decir que tal y como está representada (linea continua) la ecuación está mal escrita y debería ser como a la derecha (sin los iguales). correcto?
Por otro lado, sigo con la duda de xq usáis azul y rojo? Algunos ejercicios están solo en rojo y otros en azul y rojo.... puede ser que sean azul las rectas que no tengan inclinación??
gracias
demuestre que si a,b ∈ Z y a<b, existe n ∈ N tal que a+n=b