Hola tengo una duda con un ejercicio, me dan una matriz de orden 2 y me piden hallar la matriz X tal que A+X=AX+XA (La matriz A puede ser cualquiera, no me dan ningun valor) Gracias de antemano
Hola , la derivada de esta función no me da el mismo resultado que la hoja de soluciones , ¿ sería alguien tan amable de desarrollarla , para ver dónde me equivoqué ? gracias
Y=(x^2)(e^xcosx)
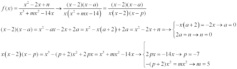
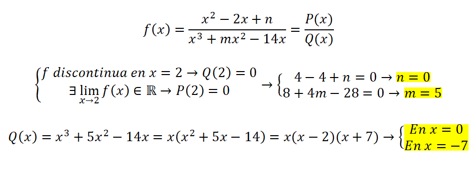
44.- Para tener discontinuidad evitable debe cumplirse que:
a) f(2) = 0/0 para que exista discontinuidad
b) el lim(x->2) f(x) sea un número real, para que sea evitable
por lo tanto si sustituimos la x por 2 e igualamos a cero tanto el numerador como el denominador nos dará los resultados esperados
y por otro lado resolviendo el límite (con esos valores) nos dará 2/9
Hola Unicoos,
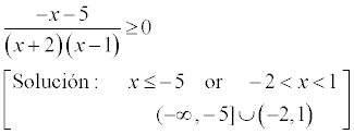
seria correcto que cada vez que tenga que resolver una función de valor absoluto hallase sus raíces igualándola a 0 para determinar en qué áreas es positiva o negativa en vez de plantear una inecuación?
Muchas gracias
Una función f(x) en valor absoluto nunca tiene valor absoluto (siempre está representada en el eje positivo de la Y)
Tienes que realizar estos pasos:
1. Iguala la función g(x) (que es f(x) SIN VALOR ABSOLUTO) y calcula sus raíces.
2. Donde g(x) tome valores negativos hay que multiplicar por -1 -----> f(x)= -g(x)
Donde g(x) tome valores positivos permanece inalterable -----> f(x)= g(x)
No consigo saber la diferencia que hay entre las derivadas implícitas y las derivadas parciales.Alguien que me ayude? gracias de antemano
Al cambiar la fraccion de sitio, esta pasa a ser negativa. Esta solo afecta al numerado o también al denominador? Como en el ejemplo, a la hora de factorizar: ![]()
gracias

gracias Ángel, pero la duda no era sobre la resolución del ejercicio. Por suerte lo saque sin problemas. Es una duda de base. Y es si al pasar una fracción a la izquierda y cambiando de signo (como en mi ejemplo). Xq afecta solo al numerador? Si es el conjunto de la fracción el que ha cambiado de posición? (espero se me entienda)