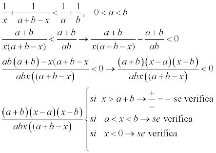
alguien me ayuda con este problema?lo he visto resuelto por gaus pero muy lioso...
En una librería hubo la semana pasada una promoción de tres libros: una novela, un libro de poesía y un cuento. Se vendieron 200 ejemplares de la novela, 100 de poesía y 150 cuentos. Se sabe que la librería ingresó por dicha promoción 8600 €, que el precio de un ejemplar de novela es el doble que el de un cuento y que el triple de la diferencia entre el precio del ejemplar de poesía y del cuento es igual al precio de una novela.
Hola, en contraste de hipótesis cuando tengo que utilizar valores críticos para calcular Zα/2 o tengo que hacer 1+p/2?
Me lo pueden explicar, me lío entre Zα, Zα/2 y no se si tiene algo que ver con valores críticos y 1+p/2.
Gracias
Hola un saludo a docentes de ta pagina, quisiera me ayudaran con este ejercios por favor.
Usando el criterio de las segundas derivadas parciales, resuelva el siguiente Problema:
Un vendedor compra dos tipos de calcetines uno a $4.00 y el otro a $5.00 el par .Si el precio de venta es “ x” dólares para el más barato y “y” dólares para el más caro, entonces puede vender mensualmente 40+3y-7x pares de calcetines de los más baratos y 25+2x-5y pares de los más caros. ¿A qué precio deberá vender cada tipo de calcetín , para obtener las máximas ganancias?

¡Hola! Nos encantaría ayudarte, pero no solemos responder dudas universitarias que no tengan que ver específicamente con los vídeos que David Calle ha grabado como excepción. O de otras asignaturas que no sean Matemáticas, Física y Química. Lo sentimos de corazón… Esperamos que lo entiendas.
Ojalá algún unicoo universitario se anime a ayudarte (de hecho, lo ideal es que todos los universitarios intentarais ayudaros los unos a los otros).

Vamos con una orientación
Plantea la expresión de la función recaudación bruta por ventas:
R(x,y) = x*(40+3y-7x) + y*(25+2x-5y) = 40x + 3xy - 7x2 + 25y + 2xy + 5y2,
reduces términos semejantes, ordenas términos, y queda:
R(x,y) = -7x2 + 5xy + 5y2 + 40x + 25y.
Luego, plantea la expresión de la función costo por compras:
C(x,y) = 4x + 7y
Luego, plantea para la expresión de la función ganancia:
G(x,y) = R(x,y) - C(x,y), sustituyes expresiones, y queda:
G(x,y) = -7x2 + 5xy + 5y2 + 40x + 25y - (4x + 7y) = -7x2 + 5xy + 5y2 + 40x + 25y - 4x - 7y,
reduces términos semejantes, y queda:
G(x,y) = -7x2 + 5xy + 5y2 + 36x - 18y.
Observa que los valores de las variables x e y deben ser números naturales, y que los valores de las funciones R, C y G deben ser positivos.
Luego, queda que plantees la condición de punto estacionario (las dos derivadas parciales son iguales a cero), resuelvas el sistema de ecuaciones, para luego evaluar su solución en el discriminante hessiano, cuyos términos están conformados por las derivadas segundas evaluadas en el punto estacionario.
Haz el intento, y si te resulta necesario, no dudes en volver a consultar.
Espero haberte ayudado.
Hola un saludo a docentes de ta pagina, quisiera me ayudaran con este ejercios por favor.
Usando el criterio de las segundas derivadas parciales, resuelva el siguiente Problema:
Un fabricante elabora un juguete cuyo costo es de $50.00, piensa venderlo a $100.00 y sabe que si gasta “y” miles de dólares en propaganda televisiva y “x” miles de dólares en propaganda escrita , entonces venderá :
gracias por la ayuda.

¡Hola! Nos encantaría ayudarte, pero no solemos responder dudas universitarias que no tengan que ver específicamente con los vídeos que David Calle ha grabado como excepción. O de otras asignaturas que no sean Matemáticas, Física y Química. Lo sentimos de corazón… Esperamos que lo entiendas.
Ojalá algún unicoo universitario se anime a ayudarte (de hecho, lo ideal es que todos los universitarios intentarais ayudaros los unos a los otros).