Aplicando bolzano a, e^x -3-sinx=0. ¿Què sale? Porqué me sale mal.

Puedes observar que la función cuya expresión tienes en el primer miembro de la ecuación:
f(x) = ex - 3 - senx,
es continua en el conjunto de los números reales.
Luego, si te piden probar que la ecuación de tu enunciado admite al menos una raíz real, puedes investigar algunos de sus valores (no olvides preparar tu calculadora para valores angulares expresados en radianes, y observa que expresamos los valores de la función en forma aproximada):
f(-2) = -1,9554,
f(-1) = -0,8415,
f(0) = -3,
f(1) = 0,5598,
f(2) = 3,4798.
Luego, observa los valores remarcados, y tienes:
1°) La función es continua en el intervalo cerrado [0,1].
2°) La función toma valores con signos distintos en los extremos del intervalo cerrado [0,1].
Por lo tanto, aplicas el Teorema de Bolzano, y concluyes:
que existe un valor c perteneciente al intervalo abierto (0,1) tal que:
f(c) = 0, sustituyes la expresión de la función evaluada para este valor, y queda la ecuación:
ec - 3 - sen(c) = 0,
y tienes que la ecuación tiene una solución real en el intervalo abierto (0,1).
Observa que hemos probado la existencia de una raíz real, y que no podemos afirmar si existen otras más o si es la única, y observa también que no hemos calculado su valor, ya que la aplicación del Teorema de Bolzano como lo hemos hecho aquí solo permite asegurar la existencia de la raíz c de la ecuación.
Espero haberte ayudado.
Tengo que simplificar aplicando las leyes de Morgan, ¿veis errores o alguno incompleto?
¬[(p∧q)∨r]
¬(p∧q) ∨ ¬r
¬p ∨ ¬q ∨ ¬r
¬[(p∨ q) ∧r]
¬(p∨ q) ∨ ¬r
(¬p ∧¬q) ∨ ¬r
p v q v ¬r
¬[(p∨ q) ∧ (p∨r)]
¬(p ∨ q) ∨ ¬(p∨r)
(¬p ∧ ¬q) ∨ (¬p∧ ¬r)
¬p∧(¬q∨¬r)
¬p ∧ q ∧ r

¡Hola! Nos encantaría ayudarte, pero no solemos responder dudas universitarias que no tengan que ver específicamente con los vídeos que David Calle ha grabado como excepción. O de otras asignaturas que no sean Matemáticas, Física y Química. Lo sentimos de corazón… Esperamos que lo entiendas.
Ojalá algún unicoo universitario se anime a ayudarte (de hecho, lo ideal es que todos los universitarios intentarais ayudaros los unos a los otros).
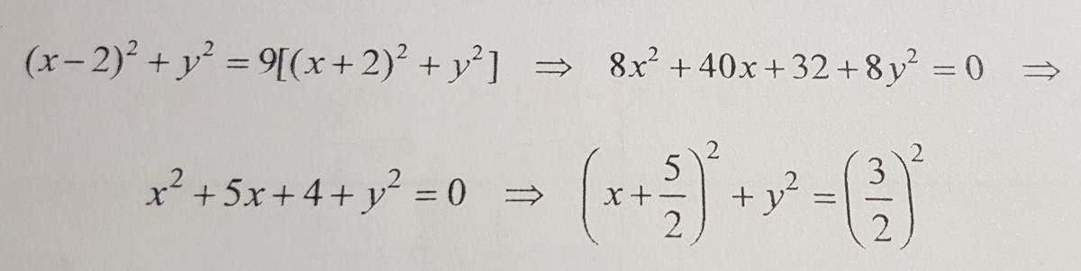
a ver si me pueden ayudar con este ejercicio llevo días trabado con él lim ( n√6 +n√4 -n√3 )n sé que es una indeterminación 1elevado∞ y que el resultado es ocho

Gracias Don Antonio, el problema es que todavía no hemos visto la regla de L´Hopital, eso se ve en el tema 2. Tiene que haber otra forma, si pudiera al calcular el límite, 1∞, e elevado al límite del exponente por (la base menos uno) multiplicar el uno por tres lo tendría resuelto, pero es que no veo la forma.