Hola , alguien podría desarrollarme esta ecuación con logarismos en base 10 ? 2logx - log( x-16) = 2
conozco las soluciones x=20 , x= 80 , pero no logro resolver utilizando las propiedades de los logaritmos , podría alguien hacerle el desarrollo de toda la ecuación ?
gracias
Hola tengo un problema que dudo entre si es una combinación o es una variación
Problema: ¿De cuántas maneras pueden sentarse 10 personas en un banco si hay 4 sitios disponibles?

Observa que tienes una población de diez personas, de la que debes elegir cuatro para sentarlas.
Observa que las personas se distinguen unas de otras, por lo que tienes orden.
Observa que una persona ocupa un solo sitio, por lo que tienes que no hay repetición.
Por lo tanto, plantea Variaciones sin repetición de diez elementos tomado de a cuatro:
V(10,4) = 10!/(10-4)! = 10!/6! = 5040 maneras de sentar a diez personas en cuatro sitios.
Espero haberte ayudado.
Hola, ¿cómo se resolvería este límite?
lim [x · ( √((x+1)/(x-1)) -1)]
x → ∞
Gráficamente, si no me he equivocado, me da que la solución es 1.
Gracias.
lim(x→inf) [x · ( √((x+1)/(x-1)) -1)]=
lim(x→inf) [x · ( √((x+1)/(x-1)) -1)]=
lim(x→inf) [x√(x+1)]/[x-1] -1=
lim(x→inf) [x/x√(x+1)]/[x/x-1/x] -1=
lim(x→inf) [√(x+1)]/[1-(1/x)] -1=
lim(x→inf) [√(x+1)]/[1-(1/x)] - lim(x→inf) 1 =
[√(inf+1)]/[1-0)] - 1 =
inf/1 - 1=
infinito - 1=
infinito
lim(x→inf) [x · ( √((x+1)/(x-1)) -1)]=
lim(x→inf) x *{ lim(x→inf) [√(x/x2+1/x2)]/(x/x2-1/x2)]-1 }=
infinito * { lim(x→inf) [√(1/x +1/x2)]/(x-1)]-1}=
infinito * lim(x→inf) [√(1/x +1/x2)]/(x-1)] -lim(x→inf) 1=
infinito * [√(1/inf +1/inf2)]/(inf-1)] -lim(x→inf) 1=
infinito * √(0+0)]/inf - 1=
infinito * (0-1)=
infinito * -1 =
-infinito
La línea imaginaria de la raíz la estoy imaginando mal yo creo :D. Último intento:
lim(x→inf) [x · ( √((x+1)/(x-1)) -1)]=
lim(x→inf) x *[lim(x→inf) √(x/x2+1/x2)/(x- 1/x)]-1 ]=
infinito * { lim(x→inf) [√(1/x +1/x2)]/(x-1/x)]-1}=
infinito * lim(x→inf) [√(1/x +1/x2)]/(x-1/x)] -lim(x→inf) 1=
infinito * [√(1/inf +1/inf2)]/(inf-0)] -lim(x→inf) 1=
infinito * √(0+0)]/inf - 1=
infinito * (0-1)=
infinito * -1 =
-infinito
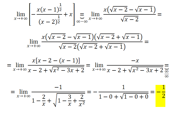
Hola, por favor, podrían resolver este límite, es que es un ejercicio resuelto en el cual el resultado es -1/2, pero no llego a esa conclusión por muchas simplificaciones que hago. Muchas gracias.
lim cuando x→∞ de: [-x·(x-1)1/2/(x-2)1/2 ]+x

¡Hola! Nos encantaría ayudarte, pero no solemos responder dudas universitarias que no tengan que ver específicamente con los vídeos que David Calle ha grabado como excepción. O de otras asignaturas que no sean Matemáticas, Física y Química. Lo sentimos de corazón… Esperamos que lo entiendas.
Ojalá algún unicoo universitario se anime a ayudarte (de hecho, lo ideal es que todos los universitarios intentarais ayudaros los unos a los otros).